找回密码
 立即注册
搜索
查看: 211|回复: 0

[浙教版] (九上)第13课 物质的转化(解析版)(导学案1)

[复制链接]

4万

主题

224

回帖

19万

积分

管理员

积分
194640
发表于 2026-3-25 03:37:00 | 显示全部楼层 |阅读模式
13  物质的转化

课程标准
学习目标
  • 了解物质的反应规律
  • 掌握产物与反应物之间的转化关系
  • 掌握物质反应的产物和反应条件
  • 整理转化过程中的规律与特点

(一)观察物质转化的过程

1d9f4a37e8870bb3e3dd1a73e12c2c18.png
09a59a5c4757370f58e76c3a1c97884e.png

540f80b6fe80522901ac509b5c5493de.png
c71785a13b0b1585ed24b7fc28700510.png
(二)思考反应过程中物质的变化

.非金属单质与其化合物之间的转化:
1.通过与氧气反应转化为非金属氧化物:(书上实验)

b49ed20c44908f0a0e36a79bc42d99fb.png
(1)硫与氧气反应:S+O2 点燃SO2               (2)磷与氧气反应:4P+5O2 点燃 2P2O5    
(3)碳与氧气反应:C+O2 点燃 CO2        (5)氢与氧气反应:2H2+O2 点燃 2H2O
ac546a89300e530caf639f5df93771de.png

d03c735f6beace0435fbad1cb9cc17f6.png
2.非金属氧化物与水反应转化为酸:

773fcdee5ef1dc13e06870e8d234c20c.png
(1)二氧化碳与水反应:CO2+H2O==H2CO3       (2)二氧化硫与水反应:SO2+H2O = H2SO3
(3)三氧化硫与水反应:SO3+H2O = H2SO4
ac546a89300e530caf639f5df93771de.png
.金属单质与其化合物之间的转化:
1.金属与非金属反应:(书上实验:铁与硫磺反应)

eb9fb498b7a8a5bcae262a5488cd793b.png
2.金属氧化物与水反应:

5f816ff54f0a25db945d4aec1afa2817.png
.金属的冶炼:
1.金属在自然界中的存在
ac546a89300e530caf639f5df93771de.png
在自然界中,仅有少数金属(化学性质非常稳定)是以游离态(即单质)的形式存在的,大多数金属(化学性质活泼)是以化合态的形式存在的。
ac546a89300e530caf639f5df93771de.png
2.金属的冶炼原理与方法
ac546a89300e530caf639f5df93771de.png
(1)冶炼原理:金属冶炼就是要把金属从化合态变成游离态。
ac546a89300e530caf639f5df93771de.png
(2)冶炼方法:CCOH2等还原剂与金属氧化物反应,夺取金属氧化物中的氧,得到金属单质,如
ac546a89300e530caf639f5df93771de.png   C+2CuO高温 CO2+2Cu      CO+CuO高温 CO2+Cu        H2+CuO = H2O+Cu
ac546a89300e530caf639f5df93771de.png

1e3179a9de133da4f112f170c3d80127.png
3.氧化还原反应:【非基本反应类型】
1)定义:有化合价变化的化学反应

cca037e330951e611bf9db4592573673.png 2)与四大基本反应类型的关系:
①置换反应都是氧化还原反应;
②复分解反应都不是氧化还原反应;
③有单质生成的分解反应是氧化还原反应;
④有单质参加的化合反应也是氧化还原反应。
3)氧化还原反应相关概念:
氧化反应:元素化合价升高的反应          还原反应:元素化合价降低的反应
氧化剂:得电子(或电子对偏向)的物质------氧化性:氧化剂具有的得电子的能力
还原剂:失电子(或电子对偏离)的物质------还原性:还原剂具有的失电子的能力
氧化产物:氧化后的生成物                还原产物:还原后的生成物。
被氧化:还原剂在反应时化合价升高的过程   被还原:氧化剂在反应时化合价降低的过程
氧化性:氧化剂具有的得电子的能力        还原性:还原剂具有的失电子的能力
氧化还原反应的实质:电子的转移
口诀:升失氧,降得还

7a4aeccfa0a5167d9066d0e148f826c5.png
.化合物之间的转化:
1.氧气、氢气、水、氧化物、酸

c615bd0ddde817b46828ded96f374077.png
2.碳与碳的化合物

f6453e4dfe3f8eca9a471efd0c1511f2.png
3.氢氧化钠、碳酸钠、碳酸氢钠、氯化钠

179a5dc8b3d0c18f3d948078eb1653e0.png
4.含钙化合物

f9eb8c9941a7f36bc254b490bd397cd9.png
5.金属(镁、铝、锌、铁、铜)及其化合物

d4195bb4f1f54e12ed52bfeb724c1e8d.png
1723de9bf3a037192160b6aa632e1ef0.png
一、选择题
1.为验证鸡蛋壳的成分中含有碳酸盐,可以在鸡蛋壳碎片中(   
A.加入水,若不能溶解,则有碳酸盐
B.加入石灰水,若无现象,则有碳酸盐
C.加入醋酸,若看到蛋壳表面有气泡,则有碳酸盐
D.加入稀盐酸,若产生的气体能使澄清石灰水变浑浊,则有碳酸盐
2.现有3瓶无色液体:水、稀盐酸、稀硫酸,用下列试剂能将三种溶液鉴别出来的是(  )
A.紫色石蕊试液        B.无色酚酞试液
C.紫色石蕊试液和氯化钡溶液        D.无色酚酞试液和氯化钡溶液
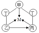
3.学了物质的转化后,老师给出甲乙丙丁之间的转化关系,小金的推测正确的是(  

065576b31da9d66fae231017caad1f23.png
A.若丙为沉淀,则甲、乙中一定有一种物质是碱   B.若丙为气体,则甲、乙中一定有单质
C.若丁为水,则该反应一定是复分解反应         D.若甲、丁为单质,则该反应一定是置换反应
4.某兴趣小组同学取7.2g固体样品(由氧化铁和铁粉混合而成),用如图所示的装置进行实验,待完全反应后,得到固体的质量为6g,B中澄清石灰水变浑浊。下列说法不正确的是(  )

3854978a54cf76c36821e6606e348776.png
A.一氧化碳在反应中体现了还原性、可燃性   B.混合物中铁的质量为6g
C.样品中铁元素与氧元素质量比为5:1       D.实验结束时先熄灭酒精喷灯,最后熄灭酒精灯
5.下列物质间的转化,均能一步实现的是(   
①C→CO→CO2 ②Cu→CuO→CuSO4
③Na2CO3→NaCl→NaNO3 ④CaCO3→CaO→Ca(OH)2
A.①②③        B.①③④        C.①②④        D.①②③④
6.下列各组物质的鉴别,所选鉴别试剂错误的是(   
待鉴别物质
鉴别试剂
A
食盐和碳酸钠
盐酸
B
稀硫酸和稀盐酸
氯化钡溶液
C
水和过氧化氢溶液
二氧化锰
D
碳酸钠溶液和稀氢氧化钠溶液
酚酞试液
A.A        B.B        C.C        D.D
7.下列各组变化中,每一转化在一定条件下均能一步实现的是(   

45a77893fad2d9f8dfc54a7a1162c0eb.png
A.①和②        B.②和③        C.①和③        D.①②③
8.木炭、氢气、一氧化碳分别与黑色的氧化铜粉末反应,下列叙述错误的是(   
A.都有红色铜产生        B.都有氧化物产生
C.反应时都需要加热        D.反应都属置换反应
9.一无色气体,可能有H2、CO、CO2中的一种或数种,现将无色气体进行如图所示的实验,观察到甲装置中黑色粉末变成光亮的红色物质,乙装置中澄清的石灰水变浑浊,下列分析正确的是( )

35a04fc82befe0e9df2bb63189f8601f.png
A.该气体中一定有H2、CO、CO2     B.该气体中可能有CO
C.该气体一定是混合物             D.该气体一定有H2、CO,可能有CO2
10.纯净物M、N之间存在着如图所示转化关系,且反应物和生成物均表示在图示中。单质A和单质B分别由A、B元素组成。据此,有以下的说法①M是氧化物 ②M、N中只有N含有A元素  ③N不是氧化物  ④M与镁的反应是置换反应 在这些说法中正确的有(   

8a6556dc7adf7f785b876e8d4618e3d0.png
A.①②        B.②④        C.①④        D.只有④正确
11.化学变化多姿多彩,美丽如花。下图中甲、乙、丙、X分别是Fe2O3、C、CO、盐酸中的某一种,甲、乙、丙均能与X发生化学反应,则X是( )

2b7c6250ef17668eace622b9bf84a67e.png
A.C        B.CO        C.Fe2O3        D.盐酸
12.三种物质间只通过一步反应就能实现如箭头所指方向的转化,下列符合要求的组合是

d992ff69187263a6302269029013cea2.png
A.甲、乙        B.甲、丙        C.乙、丙        D.甲、乙、丙
13.甲酸(HCOOH)是一种无色、有刺激性气味的液体,与浓硫酸混合加热的反应为:HCOOH<Object: word/embeddings/oleObject1.bin> CO↑+H2O。实验室可利用下图装置制取CO并还原CuO:下列说法错误的是(   

da8070cf2443d755439574280db98692.png
A.甲酸生成CO的反应属于分解反应                 B.实验中应先通入CO、后加热CuO
C.硬质玻璃管中的实验现象是黑色固体变为红色固体  D.硬质玻璃管和固体的总质量反应后增大
14.某同学为研究相同条件下一氧化碳和氢气哪个还原氧化铁的量更多,将一氧化碳和氢气等体积混合后先通过图甲装置,再通过图乙中的仪器组合。为达到实验目的,图乙中仪器选择和连接最好的是( )

a77ba2a8f694221398fe25c4367d22d6.png
A.cba        B.cda        C.cbd        D.bca
15.按如图所示装置,持续通入气态物质X,可以看到玻璃管中有红色物质生成,无水CuSO4变蓝,澄清石灰水变浑浊,则X不可能是(  

c1a70563dbb887ace9b4c1b4c2e2a126.png
A.氢气和水蒸气        B.氢气和二氧化碳        C.一氧化碳和氢气        D.一氧化碳和水蒸气
16.氧化物、酸、碱、盐都属于化合物。甲、乙、丙、丁、M是初中科学常见的化合物,其中甲、乙、丙、丁分属上述四种不同类别的化合物,M与甲属于同种类别的化合物。它们之间的部分转化关系如图所示(部分反应物、生成物、反应条件已略去,“-”表示物质之间能发生反应,“→”表示物质之间的转化关系)。下列推论中,错误的是(     )

5edd530ca84c22863fdc2547e41c6867.png
A.若甲是碳酸钙,则可以用水鉴别乙和丙
B.若乙可用于改良酸性土壤,则甲可以是氧化铜
C.若丙是碳酸钠,则甲与丁溶液混合可以得到黄色溶液
D.若丁是氢氧化钠,则甲可以通过中和反应转化为M
17.如图,甲和乙分别是氢气和一氧化碳还原氧化铜的实验,下列有关说法正确的是

1ebe6fa657e64c76eade41cd491a06f1.png
A.乙实验只能通过澄清石灰水是否变浑浊判断反应是否发生
B.甲实验试管口向下倾斜可防止生成的水倒流,也有利于将试管内的空气完全排出
C.甲、乙两实验中,都应先使试管、玻璃管均匀受热,再通入气体,以防止发生爆炸
D.甲、乙两实验中,氢气和一氧化碳都将氧化铜变成游离态的铜,都发生了置换反应
18.下列区别两种不同物质的方法合理的是( )
A.用蒸馏水区别四氧化三铁与氧化铁
B.用酚酞试剂区别稀硫酸溶液与稀醋酸
C.不用其他试剂,只需要组内试剂就可以鉴别氯化钡、氢氧化钠和硫酸铜
D.用石蕊试液区别稀烧碱溶液与澄清石灰水溶液
19.有三瓶失去标签的无色溶液:(NH42SO4、Na2CO3、KNO3,若只用一种试剂将它们一次鉴别出来,应选用的试剂为( )
A.HCl        B.BaCl2        C.NaOH        D.Ba(OH)2
20.初中化学的很多反应可以表示为:甲+乙=丙+丁,其中甲、乙、丙、丁既可能是单质也可能是化合物。下列说法中,正确的是(   
A.若甲、乙、丙、丁均是化合物,则该反应一定是复分解反应
B.若甲、乙、丙分别是酸、碱、盐,则丁一定是水
C.若甲是一氧化碳,乙是金属氧化物,则丙一定是二氧化碳
D.若甲是锌,丙是氢气,则乙一定是稀硫酸
21.下列各组物质的稀溶液,不用其他试剂就能鉴别出来的是(   
A.FeCl3、NaOH、Na2SO4、KCl          B.Na2CO3、HCl、CaCl2、HNO3
C.KNO3、HCl、NaOH、FeCl3           D.NH4Cl、KOH、Na2SO4、BaCl2
22.下列各组物质间通过一步反应就能实现如图转化的是
X
Y
Z

1d12ba912609f7e5723f5b62538aba55.png
A
Fe
FeCl2
Fe2O3
B
Ca(OH)2
NaOH
NaCl
C
AgNO3
Ba(NO3)2
BaSO4
D
H2O
O2
CO2
A.A        B.B        C.C        D.D
23.如图中“﹣”表示相连的物质间在一定条件下可以反应,“→”表示甲在一定条件下可以转化为戊。下面四组选项中,符合右图要求的是(   






b46252a30f5f1033d631b67a2cb49c7d.png
A
Al
H2SO4
NaOH
MgCl2
Al2O3
B
Na2CO3
Ca(OH)2
NaOH
HCl
CO2
C
C
CuO
HCl
O2
CO
D
HCl
Zn
H2SO4
Fe
CuCl2
A.A        B.B        C.C        D.D
24.有甲,乙,丙,丁四种无色溶液,它们分别是HCl、H2SO4、BaCl2、Na2CO3溶液中的一种。为区别这四种溶液,现将它们两两混合并得到下面现象:
溶液
甲+乙
乙+丙
丙+丁
甲+丁
现象
无明显现象
白色沉淀
白色沉淀
无色气体
根据对上述现象的分析,可推知甲、乙、丙、丁四种溶液的顺序依次是(   
A.HCl、BaCl2、H2SO4、Na2CO3        B.H2SO4、HCl、BaCl2、Na2CO3
C.HCl、H2SO4、BaCl2、Na2CO3        D.H2SO4、Na2CO3、HCl、BaCl2
25.为鉴别下列各组物质,所选试剂或方法正确的是:(   
选项
待鉴别物质
鉴别用的试剂或方法
A
Zn、 Al
用磁铁吸
B
KOH溶液 、Ba(OH)2溶液
Na2SO4溶液
C
HCl溶液、 H2SO4溶液
Zn
D
K2SO4溶液 、BaCl2溶液
Cu(OH)2
A.A        B.B        C.C        D.D
26.下列几组物质中能按照右边关系图进行转化的一组是(→表示反应一步完成)(   

fa89a174b90262aec0834f88426f2411.png
46b491ab02b2f05256383b7f6a121e3b.png
A.A        B.B        C.C        D.D
27.不需其他试剂就能区别的一组溶液是( )
A.FeCl3 NaOH         KCl         Ba(NO3)2           B.NaCl     Na2CO3 KNO3 HCl
C.Na2SO4 BaCl2 K2CO3 KNO3                    D.BaCl2 CuSO4 NaOH         NaCl
28.下列各组转化中,一定条件下均能一步实现的组合是

f6ca81d17d5555d900fa14c70f96db5e.png
A.只有②        B.②③        C.①③        D.①②③
参考答案
1D
解析】碳酸盐的检验一般是采用滴加盐酸检验是否有气体生成,然后用澄清的石灰水检验是否是二氧化碳。
故选D
2C
解析A、稀盐酸与稀硫酸都呈酸性,都能够使紫色石蕊试液变红,即用紫色石蕊试液不能鉴别稀盐酸与稀硫酸,选项错误;
B、水呈中性,稀盐酸与稀硫酸都呈酸性,都不能使酚酞试液变色,即用无色酚酞试液不能鉴别水、稀盐酸、稀硫酸,选项错误;
C、取三种液体的样品,先加入紫色石蕊试液,不变色仍呈紫色的液体是水,再向变红的两种液体中加入氯化钡溶液,产生白色沉淀的原液体是稀硫酸,无沉淀生成的液体是稀盐酸,选项正确;
D、水呈中性,稀盐酸与稀硫酸都呈酸性,都不能使酚酞试液变色,即用无色酚酞试液不能鉴别水、稀盐酸、稀硫酸,再向三种液体中加入氯化钡溶液,产生白色沉淀的原液体是稀硫酸,即不能鉴别水和稀盐酸,选项错误;
故选C
3D
解析A、盐和盐反应也可产生沉淀,A项错误;
B、稀盐酸和大理石反应也可产生气体但反应物无单质,B项错误;
C、二氧化碳和澄清石灰水反应有水生成,但不是复分解反应,C项错误;
D、单质和一种化合物反应生成单质和化合物为置换反应,D选项正确;
故选择D项。
4B
解析A、一氧化碳和氧化铁在高温的条件下生成铁和二氧化碳,一氧化碳在反应中体现了还原性,最后点燃尾气处理一氧化碳,体现了其可燃性,选项正确;
B、根据一氧化碳和氧化铁在高温的条件下生成铁和二氧化碳,可知完全反应后,得到固体的质量为6g,而反应物中氧化铁含铁元素和氧元素,因此铁的质量小于6g,选项错误;
C、一氧化碳和氧化铁在高温的条件下生成铁和二氧化碳,取7.2g固体样品(由氧化铁和铁粉混合而成),待完全反应后,得到固体的质量为6g,固体减少的质量就是样品中氧元素的质量,所以样品中铁元素与氧元素质量比为6g:1.2g=5:1,故C正确;
D、实验结束时先熄灭酒精喷灯,最后熄灭酒精灯,防止高温的铁被重新氧化,故D正确;
故选:B
5D
解析中碳在氧气中不充分燃烧生成一氧化碳,一氧化碳燃烧生成二氧化碳;
中铜和氧气在加热的条件下生成氧化铜,氧化铜和硫酸生成硫酸铜和水;
碳酸钠和盐酸反应生成氯化钠和水和二氧化碳,氯化钠和硝酸银反应生成氯化银白色沉淀和硝酸钠;
碳酸钙在高温下分解为氧化钙和二氧化碳,氧化钙和水反应生成氢氧化钙。
故选D
6D
【分析】鉴别物质时,首先对需要鉴别的物质的性质进行对比分析找出特性,再根据性质的不同,选择适当的试剂,出现不同的现象的才能鉴别.
解析A、食盐和碳酸钠中,分别加入稀盐酸,有气泡冒出的是碳酸钠,无变化的是氯化钠,可以鉴别,故方法正确;
B、稀硫酸和稀盐酸中,分别滴加氯化钡溶液,有沉淀产生的是稀硫酸,无现象的是稀盐酸,可以鉴别,故方法正确;
C、水中加二氧化锰没有现象,过氧化氢中加二氧化锰会生成氧气,现象不同,可以鉴别,故方法正确;
D、无色酚酞溶液遇酸性溶液不变色,遇碱性溶液变红色,NaOH溶液和Na2CO3溶液均显碱性,遇酚酞溶液均显红色,不能出现两种明显不同的现象,不能鉴别,故方法错误。
故选D
7B
解析铜加热得到氧化铜,氧化铜与稀硫酸反应得硫酸铜,硫酸铜加铁可得单质铜,每步均可以一步实现,故正确;
碳酸钠与澄清石灰水反应生成氢氧化钠,氢氧化钠与盐酸反应生成氯化钠,氯化钠不能转化为碳酸钠,故错误;
③H2和氧化铜、氧气等反应生成H2OH2OSO3反应生成H2SO4H2SO4和活泼金属反应得到H2,均可以实现,故正确;
答案选B
8D
解析A、木炭、氢气、一氧化碳均具有还原性,与黑色氧化铜反应均生成红色的铜,故A正确;
B、由两种元素组成,其中一种元素是氧元素的化合物是氧化物,生成的二氧化碳和水都是氧化物,故B正确;
C、木炭、氢气、一氧化碳均具有还原性,与黑色氧化铜反应时均需要加热,故C正确;
D、木炭、氢气分别与氧化铜反应生成铜和二氧化碳、铜和水,均是一种单质和一种化合物反应生成另一种单质和另一种化合物的反应,均属于置换反应;一氧化碳与氧化铜的反应,反应物均是化合物,不属于置换反应,故D不正确。故选D
9B
解析A、只要一氧化碳存在就可以满足不同的现象要求,二氧化碳和氢气只能说可能存在,故A错误;
B、只要一氧化碳存在就可以满足不同的现象要求,但如果该气体中含有H2CO2,也可以满足现象要求,所以该气体中可能有CO,故B正确;
C、一氧化碳单独存在也可以满足本题的现象要求,故C错误;
D、氧化铜变色了,一定存在还原性气体H2CO,不一定要都存在,故D错误。
故选B
10C
解析M能与金属镁反应生成氧化镁和单质A,说明M中一定含有氧元素和另外一种元素,属于化合物,可能是镁与二氧化碳反应生成氧化镁和碳,二氧化碳能与碳反应生成一氧化碳,故A是碳,碳能与氧气反应生成一氧化碳,故B是氧气,N是一氧化碳,带入框图,推断合理;
根据分析,M为二氧化碳,是氧化物,故正确;
根据分析MN分别为二氧化碳和一氧化碳,故都含有碳元素,故错误;
根据分析,N为一氧化碳,是氧化物,故错误;
④M与镁的反应,即镁与二氧化碳反应生成氧化镁和碳,是置换反应,正确;
故选C
11C
解析】一氧化碳、碳和盐酸都能与氧化铁反应,甲、乙、丙均能与X发生化学反应,则X是氧化铁,观察选项,故选C
12D
解析氢气与氧化铜反应生成铜和水,水通电分解生成氢气和氧气,氢气燃烧生成水,铜与氧气在加热条件下生成氧化铜,只通过一步就能实现如箭头所指方向的转化。
硫酸钠与氢氧化钡溶液反应生成硫酸钡沉淀和氢氧化钠,氢氧化钠与二氧化碳反应生成碳酸钠和水,碳酸钠与氢氧化钙溶液反应生成碳酸钙沉淀和氢氧化钠,碳酸钠与硫酸反应生成硫酸钠、水和二氧化碳,只通过一步就能实现如箭头所指方向的转化。
锌与氯化亚铁溶液反应生成氯化锌和铁;铁与硫酸铜溶液反应生成硫酸亚铁溶液和铜;锌与硫酸亚铁溶液反应生成铁和硫酸锌,硫酸亚铁与氯化钡溶液反应生成硫酸钡沉淀和氯化亚铁溶液;只通过一步就能实现如箭头所指方向的转化。
①②③均只通过一步反应就能实现如箭头所指方向的转化。故选D
13D
解析A、由上分析可知甲酸生成CO的反应属于分解反应,故A正确;
B、实验中应先通入CO排尽试管内空气,后加热CuO,防止一氧化碳和氧气混合加热发生爆炸,故B正确;
C、由上分析可知硬质玻璃管中的黑色固体变为紫红色固体,故C正确;
D、硬质玻璃管和固体的总质量反应后减小,因为氧化铜中的氧元素和一氧化碳结合生成了二氧化碳,故D错误,
故选D
14A
解析】一氧化碳和氢气等体积混合后还原氧化铁,要想知道哪个还原氧化铁的量更多,我们要根据生成的二氧化碳和水的质量进一步求出。要知道生成二氧化碳和水的质量,我们要先用浓硫酸质量变化测出生成水的质量,再用氢氧化钠溶液的质量变化测出生成二氧化碳的质量,然后进行尾气处理,防止未反应的一氧化碳污染空气。因为氢氧化钙的溶解度小,所以我们选择氢氧化钠,若先除二氧化碳会使所测水的质量变大,影响实验结果。所以正确的顺序是cba。故选:A
15A
解析A、氢气具有还原性,能与灼热的氧化铜反应生成铜和水蒸气,但不能使澄清石灰水变浑浊,故选项符合题意。
B、氢气具有还原性,能与灼热的氧化铜反应生成铜和水蒸气,生成的水蒸气使无水CuSO4变蓝;混合气体中的二氧化碳使澄清石灰水变浑浊,故选项不符合题意。
C、氢气具有还原性,能与灼热的氧化铜反应生成铜和水蒸气,生成的水蒸气使无水CuSO4变蓝;一氧化碳具有还原性,能与灼热的氧化铜反应生成铜和二氧化碳,生成的二氧化碳使澄清石灰水变浑浊,故选项不符合题意。
D、一氧化碳具有还原性,能与灼热的氧化铜反应生成铜和二氧化碳,生成的二氧化碳使澄清石灰水变浑浊;水蒸气使无水CuSO4变蓝,故选项不符合题意。
故选:A
16D
解析A、若甲是碳酸钙,丁能与甲、乙、丙都反应,则丁应为酸(如盐酸),乙、丙应为氧化物和碱,又乙能转化为丙,因此乙为氧化物(氧化钙),丙为碱(氢氧化钙)。甲、乙、丙都能转化为M,且M与甲类别相同,则M为钙盐(氯化钙)。氧化钙与水反应,放出大量的热,氢氧化钙溶于水,温度不变,可以用水鉴别乙、丙,正确;B、若乙可用于改良酸性土壤,则乙是氢氧化钙;丁能与甲、乙、丙都反应,且乙能转化为丙,则丙应为盐(碳酸钙),丁为酸,甲与M都是氧化物;甲、乙、丙都能转化为M,且M与甲类别相同,则M为水,甲可以是氧化铜,正确;C、若丙是碳酸钠,丁能与甲、乙、丙都反应,则丁应为酸(如盐酸),且乙能转化为丙,则乙是碱(氢氧化钠),甲与M都是氧化物;甲可以是氧化铁,M可以是水。故甲(氧化铁)与丁(盐酸)溶液混合可以得到黄色溶液(氯化铁),正确;D、中和反应生成盐和水,甲为酸(因为乙为氢氧化钠,属于碱),M必须为盐或水,而题中要求甲与M类别相同,错误。故选D
17B
解析A、一氧化碳具有还原性,能与氧化铜反应生成铜和二氧化碳,乙实验还能通过玻璃管中黑色粉末逐渐变红判断反应是否发生,故选项说法错误。
B、氢气与氧化铜反应生成铜和水,氢气的密度比空气的小,甲实验试管口向下倾斜可防止生成的水倒流,也有利于将试管内的空气完全排出,故选项说法正确。
C、甲、乙两实验中,都应先通入气体,再使试管、玻璃管均匀受热,以防止发生爆炸,故选项说法错误。
D、氢气与氧化铜反应生成铜和水,属于置换反应;一氧化碳与氧化铜反应生成铜和二氧化碳,反应物均为化合物,不属于置换反应,故选项说法错误。
故选B
18C
解析A、四氧化三铁不溶于水,氧化铁也不溶于水,故用蒸馏水不能区别,故A
B、稀醋酸和稀硫酸都不能使酚酞变色,所以难以区分,故B
C、溶液呈蓝色的为硫酸铜溶液,那么能够和硫酸铜反应生成白色沉淀的为氯化钡,可以和硫酸铜反应生成蓝色沉淀的为氢氧化钠,故C
D、烧碱溶液和石灰水都是碱的溶液,都呈碱性,所以它们都能使石蕊试液变蓝,难以区别,故D
故选C
19D
解析A、盐酸只会与碳酸钠反应,而不会与硫酸铵和硝酸钾反应,没有明显现象,不能鉴别,故A错误,
B、氯化钡和硫酸铵、碳酸钠反应都会生成白色沉淀,现象相同,不能鉴别,故B错误,
C、氢氧化钠只会与硫酸铵反应生成氨气,与其他两种物质不反应,不能鉴别,故C错误,
D、氢氧化钡会与硫酸铵反应生成白色的沉淀和刺激性气味的气体,和碳酸钠反应生成沉淀,不会与硝酸钾反应,三种物质中的现象不同,可以鉴别,故D正确,
故选D
20B
解析A、若甲、乙、丙、丁均是化合物,则该反应不一定是复分解反应,例如对2NaOH+CO2═Na2CO3+H2O来说,虽然反应物和生成物都是两种化合物,但不是两种化合物相互交换成分,所以不属于复分解反应。该选项说法不正确。
B、酸和碱反应一定生成盐和水,若甲、乙、丙分别是酸、碱、盐时,则丁一定是水。该选项说法正确。
C、若甲是一氧化碳,乙是金属氧化物,则丙或丁都有可能是二氧化碳。故该选项说法不正确。
D、若甲是锌,丙是氢气,则乙可能是稀盐酸或稀硫酸。该选项说法不正确。
故选B
21C
解析AFeCl3溶液呈黄色,首先鉴别出黄色的FeCl3溶液;把FeCl3溶液与另外三种溶液混合,出现红褐色沉淀的溶液为NaOH溶液;剩余两种溶液为Na2SO4KCl;但其余两两混合均没有明显象,故不加其他试剂无法鉴别;
B、组内四种物质的溶液两两混合时,其中有一种溶液与其它三种溶液混合时出现一次白色沉淀和两次放出气体,该溶液为碳酸钠溶液;与碳酸钠溶液反应产生白色沉淀的是氯化钙溶液;但其余两两混合均没有明显现象,故不加其他试剂无法鉴别;
CFeCl3溶液是黄色的,可以与FeCl3溶液反应产生红褐色沉淀的是的是NaOH溶液,再将剩余的两种无色溶液滴加至红褐色沉淀中,能使沉淀溶解的是盐酸,无明显变化的是硝酸钾溶液,故不加其他试剂可以鉴别;
D、组内四种物质的溶液两两混合时,其中有一种溶液与其它三种溶液混合时出现一次白色沉淀,该溶液为硫酸钠溶液和氯化钡溶液;其中有一种溶液与其它三种溶液混合时出现一次有刺激性气味的气体,该溶液为NH4Cl溶液和KOH溶液;但其余两两混合均没有明显现象,故不加其他试剂无法鉴别。
故选C
22D
解析A、铁与稀盐酸反应生成氯化亚铁和氢气,但氯化亚铁溶液无法一步反应生成氧化铁,无法一步实现图示的转化,故选项错误。
BCaOH2溶液与碳酸钠溶液反应生成碳酸钙沉淀和氢氧化钠,氢氧化钠与稀盐酸反应生成氯化钠和水,但氯化钠无法一步反应生成氢氧化钙,无法一步实现图示的转化,故选项错误。
CAgNO3溶液与氯化钡溶液反应生成氯化银沉淀和硝酸钡,硝酸钡溶液与硫酸反应生成硫酸钡沉淀和硝酸,硫酸钡沉淀难溶于水、难溶于酸,无法一步反应硝酸银,无法一步实现图示的转化,故选项错误。
DH2O通电分解生成氢气和氧气,氧气与碳在点燃条件下生成二氧化碳,二氧化碳和氢氧化钠反应生成水和碳酸钠,通过一步反应就能实现如图转化,故选项正确。
故选D
23D
解析A、根据框图,结合A组物质,铝可与硫酸反应生成硫酸铝和氢气,硫酸可与氢氧化钠发生中和反应,氢氧化钠可与氯化镁反应生成氢氧化镁沉淀和氯化钠,铝和氯化镁不反应,硫酸可与氧化铝反应生成硫酸铝和水,铝可被氧气氧化为氧化铝,不符合题意;
B、根据框图,结合B组物质,乙为氢氧化钙,丙为氢氧化钠,这两种物质都属于碱类物质,不能发生化学反应,不符合题意;
C、根据框图,结合C组物质,丙为盐酸,丁为氧气,这两种物质不能发生化学反应,不符合题意;
D、根据框图,结合D组物质,盐酸可与锌反应生成氯化锌和氢气,锌可与硫酸反应生成硫酸锌和氢气,铁和稀硫酸反应生成硫酸亚铁和氢气,铁和稀盐酸反应生成氯化亚铁和氢气,锌可与氯化铜反应生成氯化锌和铜,盐酸可与氧化铜等物质反应转化为氯化铜,符合题意。故选D
24C
解析】四物质中BaCl2和稀H2SO4Na2CO3均会生成白色沉淀,Na2CO3HCl、稀H2SO4反应均会生成二氧化碳气体,结合表格可知丙能够产生两次沉淀,因此丙是氯化钡,则乙和丁分别是硫酸、碳酸钠真的一种,那么剩下的甲就是盐酸,由于甲和丁混合能够产生气体,因此和盐酸反应产生气体的就是碳酸钠,那么乙就是硫酸,带入表格验证,符合要求,即:甲是盐酸,乙是硫酸,丙是氯化钡,丁是碳酸钠。
故选C
25B
解析A、锌、铝都不能被磁铁吸引,不能鉴别;
B、硫酸钠能够和氢氧化钡反应产生沉淀,和氢氧化钾无现象,可以鉴别;
C、锌和稀硫酸、稀盐酸都能反应产生气泡,现象相同,不能鉴别;
D、因为盐和碱反应时反应物都必须可溶,而氢氧化铜是难溶于水得沉淀,因此不能与K2SO4溶液和BaCl2溶液反应,不能鉴别;
故选B
26B
解析A、氧化铁可以被某些具有还原性的物质如一氧化碳、碳、氢气等还原为金属铁,要转化成盐,可以与酸发生复分解反应,反应前后元素的化合价不变,在氧化铁中铁为+3价,反应后不可能变为+2价,故A错误;
B、碳在氧气充足时燃烧生成二氧化碳,在氧气不充足时燃烧生成一氧化碳,生成的一氧化碳可以被氧化为二氧化碳,即C→CO→CO2→C,故B正确;
C、碳酸钙高温能分解生成氧化钙,碳酸钙是不溶性盐,不能直接反应生成氢氧化钙,故C错误;
D、铜可被氧气氧化为氧化铜,铜的化学性质不活泼,不能一步反应生成氢氧化铜,故D错误;
故选B
27D
解析A.氯化铁溶液为黄色可以区别出来,氢氧化钠能与氯化铁产生红褐色沉淀也可区别出来,氯化钾与硝酸钡无法区别,故错误;
B.只有碳酸钠能盐酸反应有气泡产生,氯化钠与硝酸钾无法区分,碳酸钠与盐酸也无法区分,故错误;
C.氯化钡与硫酸钠产生白色沉淀,与碳酸钾也产生白色沉淀,所以硫酸钠与碳酸钾无法区分,故错误;
D.硫酸铜溶液为蓝色可以区分出来,氢氧化钠与硫酸铜会产生蓝色沉淀也可区分出来,氯化钡与硫酸铜会产生白色沉淀也可区分出来,最后剩下的是氯化钠,故正确。故选D
28D
解析中硫酸与活泼金属反应生成氢气,氢气燃烧生成水,水与三氧化硫反应生成硫酸,均能一步实现;中氧化钙与稀盐酸反应生成氯化钙,氯化钙与碳酸钠反应生成碳酸钙,碳酸钙高温分解生成氧化钙,均能一步实现;中氯化镁与氢氧化钠反应生成氢氧化镁,氢氧化镁与稀硫酸反应生成硫酸镁,硫酸镁与氯化钡反应生成氯化镁,均能一步实现;D选项正确,符合题意。故选D

您需要登录后才可以回帖 登录 | 立即注册

本版积分规则

Archiver|手机版|小黑屋|5432教案网 ( 蜀ICP备2022024372号-1 |川公网安备51152402000101号 )|网站地图

GMT+8, 2026-5-11 02:14 , Processed in 0.908375 second(s), 31 queries .

Powered by Discuz! X3.5

© 2001-2026 Discuz! Team.

快速回复 返回顶部 返回列表