找回密码
 立即注册
搜索
查看: 204|回复: 0

[浙教版] (九上)第13课 物质的转化(原卷版)(导学案1)

[复制链接]

4万

主题

224

回帖

19万

积分

管理员

积分
194640
发表于 2026-3-25 03:37:33 | 显示全部楼层 |阅读模式
13  物质的转化

课程标准
学习目标
  • 了解物质的反应规律
  • 掌握产物与反应物之间的转化关系
  • 掌握物质反应的产物和反应条件
  • 整理转化过程中的规律与特点

(一)观察物质转化的过程

083249238668aa7629437bae27ff3246.png
357bdd93c9901f43d186b8218f4adb60.png

318f32934457f503ad57a72490ff51d9.png
1eee7871ef003317fe1f39d2a4976dbc.png
(二)思考反应过程中物质的变化

.非金属单质与其化合物之间的转化:
1.通过与氧气反应转化为非金属氧化物:(书上实验)

b750e6daac15bd41fbce1d139cf684cd.png
(1)硫与氧气反应:S+O2 点燃SO2               (2)磷与氧气反应:4P+5O2 点燃 2P2O5    
(3)碳与氧气反应:C+O2 点燃 CO2        (5)氢与氧气反应:2H2+O2 点燃 2H2O
ac546a89300e530caf639f5df93771de.png

69363cff149888acb76a1bd663b2e754.png
2.非金属氧化物与水反应转化为酸:

773fcdee5ef1dc13e06870e8d234c20c.png
(1)二氧化碳与水反应:CO2+H2O==H2CO3       (2)二氧化硫与水反应:SO2+H2O = H2SO3
(3)三氧化硫与水反应:SO3+H2O = H2SO4
ac546a89300e530caf639f5df93771de.png
.金属单质与其化合物之间的转化:
1.金属与非金属反应:(书上实验:铁与硫磺反应)

eb9fb498b7a8a5bcae262a5488cd793b.png
2.金属氧化物与水反应:

e49a741d19abb75c5e2e7364ed72a137.png
.金属的冶炼:
1.金属在自然界中的存在
ac546a89300e530caf639f5df93771de.png
在自然界中,仅有少数金属(化学性质非常稳定)是以游离态(即单质)的形式存在的,大多数金属(化学性质活泼)是以化合态的形式存在的。
ac546a89300e530caf639f5df93771de.png
2.金属的冶炼原理与方法
ac546a89300e530caf639f5df93771de.png
(1)冶炼原理:金属冶炼就是要把金属从化合态变成游离态。
ac546a89300e530caf639f5df93771de.png
(2)冶炼方法:CCOH2等还原剂与金属氧化物反应,夺取金属氧化物中的氧,得到金属单质,如
ac546a89300e530caf639f5df93771de.png   C+2CuO高温 CO2+2Cu      CO+CuO高温 CO2+Cu        H2+CuO = H2O+Cu
ac546a89300e530caf639f5df93771de.png

b59d0d686033b07101745d15271d24f9.png
3.氧化还原反应:【非基本反应类型】
1)定义:有化合价变化的化学反应

cca037e330951e611bf9db4592573673.png 2)与四大基本反应类型的关系:
①置换反应都是氧化还原反应;
②复分解反应都不是氧化还原反应;
③有单质生成的分解反应是氧化还原反应;
④有单质参加的化合反应也是氧化还原反应。
3)氧化还原反应相关概念:
氧化反应:元素化合价升高的反应          还原反应:元素化合价降低的反应
氧化剂:得电子(或电子对偏向)的物质------氧化性:氧化剂具有的得电子的能力
还原剂:失电子(或电子对偏离)的物质------还原性:还原剂具有的失电子的能力
氧化产物:氧化后的生成物                还原产物:还原后的生成物。
被氧化:还原剂在反应时化合价升高的过程   被还原:氧化剂在反应时化合价降低的过程
氧化性:氧化剂具有的得电子的能力        还原性:还原剂具有的失电子的能力
氧化还原反应的实质:电子的转移
口诀:升失氧,降得还

3ad37924150a143518caf243167b7ee4.png
.化合物之间的转化:
1.氧气、氢气、水、氧化物、酸

a765b653d3b62a952b8fbdbf82857afc.png
2.碳与碳的化合物

f6453e4dfe3f8eca9a471efd0c1511f2.png
3.氢氧化钠、碳酸钠、碳酸氢钠、氯化钠

c44553d6c5a6e44ae73a79138700c04b.png
4.含钙化合物

b065be49f29b471d5fc08ef68b9fe049.png
5.金属(镁、铝、锌、铁、铜)及其化合物

76c2df9e88b1a93d59747ffdb15fd48b.png
1723de9bf3a037192160b6aa632e1ef0.png
一、选择题
1.为验证鸡蛋壳的成分中含有碳酸盐,可以在鸡蛋壳碎片中(   
A.加入水,若不能溶解,则有碳酸盐
B.加入石灰水,若无现象,则有碳酸盐
C.加入醋酸,若看到蛋壳表面有气泡,则有碳酸盐
D.加入稀盐酸,若产生的气体能使澄清石灰水变浑浊,则有碳酸盐
2.现有3瓶无色液体:水、稀盐酸、稀硫酸,用下列试剂能将三种溶液鉴别出来的是(  )
A.紫色石蕊试液        B.无色酚酞试液
C.紫色石蕊试液和氯化钡溶液        D.无色酚酞试液和氯化钡溶液
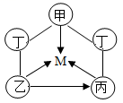
3.学了物质的转化后,老师给出甲乙丙丁之间的转化关系,小金的推测正确的是(  

065576b31da9d66fae231017caad1f23.png
A.若丙为沉淀,则甲、乙中一定有一种物质是碱   B.若丙为气体,则甲、乙中一定有单质
C.若丁为水,则该反应一定是复分解反应         D.若甲、丁为单质,则该反应一定是置换反应
4.某兴趣小组同学取7.2g固体样品(由氧化铁和铁粉混合而成),用如图所示的装置进行实验,待完全反应后,得到固体的质量为6g,B中澄清石灰水变浑浊。下列说法不正确的是(  )

6e5284401d31e5042e31d7959036d6af.png
A.一氧化碳在反应中体现了还原性、可燃性   B.混合物中铁的质量为6g
C.样品中铁元素与氧元素质量比为5:1       D.实验结束时先熄灭酒精喷灯,最后熄灭酒精灯
5.下列物质间的转化,均能一步实现的是(   
①C→CO→CO2 ②Cu→CuO→CuSO4
③Na2CO3→NaCl→NaNO3 ④CaCO3→CaO→Ca(OH)2
A.①②③        B.①③④        C.①②④        D.①②③④
6.下列各组物质的鉴别,所选鉴别试剂错误的是(   
待鉴别物质
鉴别试剂
A
食盐和碳酸钠
盐酸
B
稀硫酸和稀盐酸
氯化钡溶液
C
水和过氧化氢溶液
二氧化锰
D
碳酸钠溶液和稀氢氧化钠溶液
酚酞试液
A.A        B.B        C.C        D.D
7.下列各组变化中,每一转化在一定条件下均能一步实现的是(   

0f5b69f0530455d6b1c630086481d960.png
A.①和②        B.②和③        C.①和③        D.①②③
8.木炭、氢气、一氧化碳分别与黑色的氧化铜粉末反应,下列叙述错误的是(   
A.都有红色铜产生        B.都有氧化物产生
C.反应时都需要加热        D.反应都属置换反应
9.一无色气体,可能有H2、CO、CO2中的一种或数种,现将无色气体进行如图所示的实验,观察到甲装置中黑色粉末变成光亮的红色物质,乙装置中澄清的石灰水变浑浊,下列分析正确的是( )

8299330020532c577d8187fb79139eda.png
A.该气体中一定有H2、CO、CO2     B.该气体中可能有CO
C.该气体一定是混合物             D.该气体一定有H2、CO,可能有CO2
10.纯净物M、N之间存在着如图所示转化关系,且反应物和生成物均表示在图示中。单质A和单质B分别由A、B元素组成。据此,有以下的说法①M是氧化物 ②M、N中只有N含有A元素  ③N不是氧化物  ④M与镁的反应是置换反应 在这些说法中正确的有(   

60a8b80a9f6f92e4b7574e02193c88f3.png
A.①②        B.②④        C.①④        D.只有④正确
11.化学变化多姿多彩,美丽如花。下图中甲、乙、丙、X分别是Fe2O3、C、CO、盐酸中的某一种,甲、乙、丙均能与X发生化学反应,则X是( )

08b98882b156c6cfbf42a6a791a8b9d4.png
A.C        B.CO        C.Fe2O3        D.盐酸
12.三种物质间只通过一步反应就能实现如箭头所指方向的转化,下列符合要求的组合是

d80a2335a145477ede8e8beceb202463.png
A.甲、乙        B.甲、丙        C.乙、丙        D.甲、乙、丙
13.甲酸(HCOOH)是一种无色、有刺激性气味的液体,与浓硫酸混合加热的反应为:HCOOH<Object: word/embeddings/oleObject1.bin> CO↑+H2O。实验室可利用下图装置制取CO并还原CuO:下列说法错误的是(   

d803b4379520e028190c37b9e07d8f51.png
A.甲酸生成CO的反应属于分解反应                 B.实验中应先通入CO、后加热CuO
C.硬质玻璃管中的实验现象是黑色固体变为红色固体  D.硬质玻璃管和固体的总质量反应后增大
14.某同学为研究相同条件下一氧化碳和氢气哪个还原氧化铁的量更多,将一氧化碳和氢气等体积混合后先通过图甲装置,再通过图乙中的仪器组合。为达到实验目的,图乙中仪器选择和连接最好的是( )

d500870d9743a8ddb4aaf3d9de02d8e8.png
A.cba        B.cda        C.cbd        D.bca
15.按如图所示装置,持续通入气态物质X,可以看到玻璃管中有红色物质生成,无水CuSO4变蓝,澄清石灰水变浑浊,则X不可能是(  

fca63de7a6b7e60d15f0b66c63963609.png
A.氢气和水蒸气        B.氢气和二氧化碳        C.一氧化碳和氢气        D.一氧化碳和水蒸气
16.氧化物、酸、碱、盐都属于化合物。甲、乙、丙、丁、M是初中科学常见的化合物,其中甲、乙、丙、丁分属上述四种不同类别的化合物,M与甲属于同种类别的化合物。它们之间的部分转化关系如图所示(部分反应物、生成物、反应条件已略去,“-”表示物质之间能发生反应,“→”表示物质之间的转化关系)。下列推论中,错误的是(     )

73f82474582af8e420f071afd494f4dc.png
A.若甲是碳酸钙,则可以用水鉴别乙和丙
B.若乙可用于改良酸性土壤,则甲可以是氧化铜
C.若丙是碳酸钠,则甲与丁溶液混合可以得到黄色溶液
D.若丁是氢氧化钠,则甲可以通过中和反应转化为M
17.如图,甲和乙分别是氢气和一氧化碳还原氧化铜的实验,下列有关说法正确的是

643fcf7df5f46b33d23c7a4a5f0e6a80.png
A.乙实验只能通过澄清石灰水是否变浑浊判断反应是否发生
B.甲实验试管口向下倾斜可防止生成的水倒流,也有利于将试管内的空气完全排出
C.甲、乙两实验中,都应先使试管、玻璃管均匀受热,再通入气体,以防止发生爆炸
D.甲、乙两实验中,氢气和一氧化碳都将氧化铜变成游离态的铜,都发生了置换反应
18.下列区别两种不同物质的方法合理的是( )
A.用蒸馏水区别四氧化三铁与氧化铁
B.用酚酞试剂区别稀硫酸溶液与稀醋酸
C.不用其他试剂,只需要组内试剂就可以鉴别氯化钡、氢氧化钠和硫酸铜
D.用石蕊试液区别稀烧碱溶液与澄清石灰水溶液
19.有三瓶失去标签的无色溶液:(NH42SO4、Na2CO3、KNO3,若只用一种试剂将它们一次鉴别出来,应选用的试剂为( )
A.HCl        B.BaCl2        C.NaOH        D.Ba(OH)2
20.初中化学的很多反应可以表示为:甲+乙=丙+丁,其中甲、乙、丙、丁既可能是单质也可能是化合物。下列说法中,正确的是(   
A.若甲、乙、丙、丁均是化合物,则该反应一定是复分解反应
B.若甲、乙、丙分别是酸、碱、盐,则丁一定是水
C.若甲是一氧化碳,乙是金属氧化物,则丙一定是二氧化碳
D.若甲是锌,丙是氢气,则乙一定是稀硫酸
21.下列各组物质的稀溶液,不用其他试剂就能鉴别出来的是(   
A.FeCl3、NaOH、Na2SO4、KCl          B.Na2CO3、HCl、CaCl2、HNO3
C.KNO3、HCl、NaOH、FeCl3           D.NH4Cl、KOH、Na2SO4、BaCl2
22.下列各组物质间通过一步反应就能实现如图转化的是
X
Y
Z

1d12ba912609f7e5723f5b62538aba55.png
A
Fe
FeCl2
Fe2O3
B
Ca(OH)2
NaOH
NaCl
C
AgNO3
Ba(NO3)2
BaSO4
D
H2O
O2
CO2
A.A        B.B        C.C        D.D
23.如图中“﹣”表示相连的物质间在一定条件下可以反应,“→”表示甲在一定条件下可以转化为戊。下面四组选项中,符合右图要求的是(   






f5c9c49748759e445630cb2f9b181e82.png
A
Al
H2SO4
NaOH
MgCl2
Al2O3
B
Na2CO3
Ca(OH)2
NaOH
HCl
CO2
C
C
CuO
HCl
O2
CO
D
HCl
Zn
H2SO4
Fe
CuCl2
A.A        B.B        C.C        D.D
24.有甲,乙,丙,丁四种无色溶液,它们分别是HCl、H2SO4、BaCl2、Na2CO3溶液中的一种。为区别这四种溶液,现将它们两两混合并得到下面现象:
溶液
甲+乙
乙+丙
丙+丁
甲+丁
现象
无明显现象
白色沉淀
白色沉淀
无色气体
根据对上述现象的分析,可推知甲、乙、丙、丁四种溶液的顺序依次是(   
A.HCl、BaCl2、H2SO4、Na2CO3        B.H2SO4、HCl、BaCl2、Na2CO3
C.HCl、H2SO4、BaCl2、Na2CO3        D.H2SO4、Na2CO3、HCl、BaCl2
25.为鉴别下列各组物质,所选试剂或方法正确的是:(   
选项
待鉴别物质
鉴别用的试剂或方法
A
Zn、 Al
用磁铁吸
B
KOH溶液 、Ba(OH)2溶液
Na2SO4溶液
C
HCl溶液、 H2SO4溶液
Zn
D
K2SO4溶液 、BaCl2溶液
Cu(OH)2
A.A        B.B        C.C        D.D
26.下列几组物质中能按照右边关系图进行转化的一组是(→表示反应一步完成)(   

7959592642600d48a2fb901e67f1f06a.png
3a9b943fe9700dcbbae70e5f740f298f.png
A.A        B.B        C.C        D.D
27.不需其他试剂就能区别的一组溶液是( )
A.FeCl3 NaOH         KCl         Ba(NO3)2           B.NaCl     Na2CO3 KNO3 HCl
C.Na2SO4 BaCl2 K2CO3 KNO3                    D.BaCl2 CuSO4 NaOH         NaCl
28.下列各组转化中,一定条件下均能一步实现的组合是

291684906c75227c8d9eec1d826fd379.png
A.只有②        B.②③        C.①③        D.①②③
您需要登录后才可以回帖 登录 | 立即注册

本版积分规则

Archiver|手机版|小黑屋|5432教案网 ( 蜀ICP备2022024372号-1 |川公网安备51152402000101号 )|网站地图

GMT+8, 2026-5-11 02:14 , Processed in 0.834219 second(s), 31 queries .

Powered by Discuz! X3.5

© 2001-2026 Discuz! Team.

快速回复 返回顶部 返回列表