找回密码
 立即注册
搜索
查看: 89|回复: 0

[人教版] (选必3)5.1 合成高分子的基本方法(教案1)

[复制链接]

4万

主题

224

回帖

19万

积分

管理员

积分
197640
发表于 2026-4-3 05:59:54 | 显示全部楼层 |阅读模式
  • 合成高分子
  • 第一节  合成高分子的基本方法

2d911c28aa6d0b5e327bc53bd23dc75e.png
教学中通过学过的具体物质,指出淀粉、纤维素、蛋白质、聚乙烯聚氯乙烯等都是有高分子化合物。这样既联系了前面学过的知识又使学生容易识别有机高分子化合物高分子化合物是小分子通过聚合反应制得的对于教材中出现的结构单元链节、聚合度与单体等几个概念结合1~2个典型例子要求学生知道它们是研究有机高分子化合物时常用的几个名词就可以了不必加深和拓宽。教学中注意培养学生密切联系自己的生活实际细心观察从生活中学习化学的方法。初步体验高分子材料在国民经济发展和现代科学技术中的重要作用。

44ddef8ea81d029bb1c1e28076c9ed83.png
课程目标
学科素养
1.了解聚合物的组成与结构特点,认识单体和单体单元(链节)及其与聚合物结构的关系。
  • 2.理解合成高分子的基本方法——加聚反应和缩聚反应的原理及反应特点。
  • 宏观辨识与微观探析:了解聚合物的组成与结构特点,认识单体和单体单元(链节)及其与聚合物结构的关系
  • 证据推理与模型认知:理解合成高分子的基本方法——加聚反应和缩聚反应的原理及反应特点

c7bdfce928195d2be7304732f1718f14.png
教学重点:单体和单体单元(链节)及其与聚合物结构的关系 加聚反应和缩聚反应的原理及反应特点。
教学难点:加聚反应和缩聚反应的原理及反应特点。

7f87df24f2527dcef87ce314c1561c39.png
讲义  教具

c65032410c0ff1332091edf2c345b64f.png
【新课导入】
高分子科学从诞生到现在还不足百年但完整的高分子材料工业体系已经建立。除了塑料、合成纤维、合成橡胶三大合成材料现代高分子材料正向功能化、智能化精细化方向发展出现了具有光学、电学、生物医学、吸附分离等功能的高分子,与能源、国防、航空航天、电子信息、医疗健康和现代农业考领域的需求密切相关。
高分子的组成和结构特点决定了高分子的性质,是确定高分子合成方法及应用领域的基础,也是我们学习和认识高分子的基本视角。
任务一:认识合成高分子
  • 高分子的合成是利用有机物相互反应的性能,得到相对分子质量较大的高分子的过程。
  • 高分子的相对分子质量比一般有机物大得多,通常在10°以上;一般有机物的相对分子质量具有明确的数值,而高分子的相对分子质量却是一个平均值,因为聚合反应得到的是分子长短不一的混合物。
  • 合成高分子的基本方法包括加成聚合反应与缩合聚合反应,前者一般是含有双键的烯类单体发生的聚合反应,后者一般是含有两个(或两个以上)官能团的单体之间发生的聚合反应。
任务二:认识加聚反应和缩聚反应
  • 加聚反应:
  • 定义:有机小分子通过加成反应生成高分子的反应,称为加成聚合反应(简称加聚反应)。
  • 加聚反应的相关概念
  • 单体——能够进行聚合反应形成高分子化合物的低分子化合物——含有碳碳双键(或碳碳三键)的有机物单体
  • 链节——高分子化合物中化学组成相同、可重复的结构,也称重复结构单元
  • 聚合度——高分子链中含有链节的数目,通常用n表示
  • 加聚物——由单体聚合而成的相对分子质量较大的化合物,相对分子质量=链节的相对质量×n
  • 加聚反应的案例分析

f4d3cf630aa35234f4b07d2b0a0bdac0.png

c41015c57e4799ab408a9c1eb9919141.png
c41015c57e4799ab408a9c1eb9919141.png
c41015c57e4799ab408a9c1eb9919141.png
3.加聚反应常见类型
(1)单烯烃加聚:
812cf652e7d94c7cfc5f4134dcba89a1.png

681bf46fb5b11dc4fe491682718eaf2d.png

7fd537b7d08dc7b25c9f9741cfd945db.png

2a319693fbc3f076891b6e278fa43bd8.png
4.加聚产物单体的判断方法
(1)凡链节的主链只有两个碳原子(无其他原子)的聚合物,其单体必为一种,将两个半键闭合即得对应单体。
(2)凡链节主链有四个碳原子(无其他原子),且链节无双键的聚合物,其单体必为两种,在中央划线断开,然后分别将两个半键闭合即得对应单体。
(3)凡链节主链上只有碳原子,并存在碳碳双键结构的高聚物,其断键规律是“有双键,四个碳;无双键,两个碳”,划线断开,然后将单键变双键,双键变单键即得对应单体。
(4)凡链节主链上有多个碳原子(n>2),且含有碳碳双键的高聚物,若采用“见双键,四个碳”的断键方式,链节主链两边分别剩下1个碳原子,无法构成含双键的单体时,则可能是含有碳碳三键的化合物参与了加聚反应。

a786d132f855c012b949c90f70512d65.png 的单体为两种单烯烃和一种乙炔。
任务三:认识缩合聚合反应
  • 定义:单体分子间通过缩合反应生成高分子的反应称为缩合聚合反应(简称缩聚反应)。
  • 缩聚反应与加聚反应的重要不同是缩聚反应产物除了生成缩聚物的同时,还伴有小分子的副产物的生成,而加聚反应产物只生成加聚物。
  • 书写缩聚物的结构简式时,要注明端基原子或原子团。

  • 4.缩聚反应常见类型
(1)二元酸与二元醇之间
(2)羟基羧酸之间
(3)氨基酸之间
(4)二元酸与二胺之间
5.书写缩聚反应化学方程式时要注明
(1)注明“n”。
(2)生成小分子的个数,若由一种单体缩聚小分子数一般为n-1,两种单体缩聚,小分子数一般为2n-1。
6.示例:完成下列物质发生缩聚反应的化学方程式。

993812a0a2a8f4853b34359256eb564b.png

7f89c82c9681c5c41a9aa771d14a56da.png

7f89c82c9681c5c41a9aa771d14a56da.png
  • 缩聚产物单体的判断方法
  • (1)若高聚物为、,其单体必为一种。
  • (2)凡链节中含有的高聚物,其单体为酸和醇,将中C—O键断开,羰基上加—OH,氧原子上加—H即可。
  • (3)凡链节中含有的高聚物,其单体一般二元酸与二胺或为氨基酸,将中C—N键断开,羰基上加—OH,—NH—上加—H。


【学生活动】
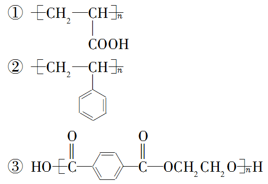
写出下列聚合物单体的结构简式。

19a00e5bf8f39d0494650352379800eb.png

c2d7df7f959ea851e88f0d272149782d.png
[提示] ①CH2===CHCOOH。

109a4a3e540604ba30b1318fef07ec7c.png
④HOOC(CH2)4COOH、NH2—(CH2)6NH2

1690b24205e098e357f88523861ebf63.png
⑥CH2=CH2CH3CH=CH2
⑦CH2===CHCH3CH2===CH—CH===CH2
【总结】
1.加聚反应和缩聚反应的比较
类别
加聚反应
缩聚反应
单体特征
含不饱和键(如
342214a0b1ce8f8eb61168aa4d209dc7.png )或环(如
eaf5c3dd412f5efa3e506ab28a28ac0e.png )
至少含两个官能团
单体种类
含碳碳双键或碳碳三键的有机物等
酚、醛、醇、羧酸、氨基酸等
聚合方式
通过不饱和键加成
通过官能团缩合脱去小分子而连接
聚合物特征
高聚物链节和单体具有相同的化学组成
高聚物链节和单体具有不同的化学组成
产物
只生成高聚物
高聚物和小分子

任务四:知识建构

2b7b0d2680f91fac63e2e176d04795e2.png

ff89513ce61f3424b0df47de95f9eecf.png
  • 下列不属于天然高分子化合物的是     
  • A. 淀粉        B. 纤维素        C. 油脂        D. 蛋白质
  • 【答案】C
  • 【解析】
相对分子质量在10000以上的有机化合物为高分子化合物,高分子化合物分为天然高分子化合物、合成高分子化合物,淀粉、纤维素、蛋白质为天然高分子化合物。A.淀粉为多糖,相对分子质量在10000以上,属于天然高分子化合物,故A错误;
B.纤维素为多糖,相对分子质量在10000以上,属于天然高分子化合物,故B错误;C.油脂相对分子质量较小,不属于高分子化合物,故C正确;D.蛋白质相对分子质量在10000以上,属于天然高分子化合物,故D错误。
  • 不饱和聚酯是生产复合材料“玻璃钢”的基体树脂材料。如图是以基础化工原料合成UP流程:

46a15b4f0f691a6337592c9de2504270.png
下列说法不正确的是
898aeba022a5ebd4a4d1b299de6339e2.png       
6f37f30d9ed85e932f51ed29c6691adb.png
  • A. 丙可被酸性溶液直接氧化制单体1B. 单体2可能是乙二醇C. 单体1、2、3经缩聚反应制得UPD. 调节单体的投料比,控制m和n的比值,获得性能不同的高分子材料
  • 【答案】A
  • 【解析】
  • 根据缩聚反应的高聚物与单体之间的关系可推知,不饱和聚酯的单体有三个,分别是、、,从合成UP流程来看,甲含4个C,2个不饱和度,应该是合成单体的原料,结合随后的与溴的四氯化碳的加成反应可推出甲应为基本化工原料1,4丁二烯,甲与溴单质发生加成反应生成乙,推出乙为,乙水解可得到丙,则丙为,丙与HBr发生加成反应可得到,再经过连续氧化会得到丁,则丁为,丁发生消去反应得到最终的单体,最终经过缩聚反应得到UP,据此分析作答。A. 根据上述分析可知,丙为,碳碳双键和羟基均可被酸性溶液氧化,不能直接得到单体,故A错误;B. 单体2可能是乙二醇,故B正确;C. 单体1、2、3经脱水缩聚反应可制得UP,故C正确;D. 调节单体的投料比,控制m和n的比值,可获得性能不同的高聚物,故D正确。
  • 交联聚合物P的结构片段如图所示。下列说法不正确的是图中表示链延长     
  • A. 聚合物P中有酯基,能水解B. 聚合物P的合成反应为缩聚反应C. 聚合物P的原料之一丙三醇可由油脂水解获得D. 邻苯二甲酸和乙二醇在聚合过程中也可形成类似聚合物P的交联结构
  • 【答案】D
  • 【解析】
  • A.Y与X发生缩聚反应生成P,P含酯基,可发生水解反应,故A正确;B.、发生反应,则聚合物P的合成反应为缩聚反应,故B正确;D.油脂为高级脂肪酸甘油酯,则水解可生成甘油丙三醇,故C正确;D.邻苯二甲酸和乙二醇在发生缩聚反应生成直链结构的高分子,不能形成类似聚合物P的交联结构,故D错误;故选:D。
  • 下列有关下图中有机物的说法不正确的是
  • A. 该有机物的分子式为B. 该有机物最多可以与反应C. 能发生酯化反应、水解反应、银镜反应和缩聚反应D. 该有机物与NaOH溶液反应时,最多消耗
  • 【答案】B
  • 【解析】
A.根据有机物的结构简式可得,该有机物分子式为
a44d196699c3dd1f4665719ab273cf33.png ,故A正确;B.醛基和碳碳双键能和氢气发生加成反应,所以该有机物最多可以和2mol氢气发生反应,故B错误;C.该有机物分子中含有羟基和羧基,能发生酯化反应和缩聚反应,含有醛基,能发生银镜反应,含有卤原子,能发生水解反应,故C正确;D.羧基能和NaOH反应,溴原子水解能和NaOH反应,所以1 mol该有机物最多与2mol NaOH反应,故D正确;故选B。
  • 医用消毒剂“碘伏”是单质碘与聚乙烯吡咯烷酮的不定型结合物。聚乙烯吡咯烷酮可由下列方法进行合成:
按要求回答下列问题:

916f51d92e77e1ad53657a8234a2b994.png 上述转化的反应类型是___________。

3db708cff2a7b35e51966bc4cbec8ef5.png 聚乙烯吡咯烷酮的相对分子质量为___________。

5fd4067b9bca2ae5bc50fbc47b537c0d.png 写出乙烯基吡咯烷酮与NaOH溶液反应的化学方程式___________。
  • 【答案】加聚反应
  • 【解析】

916f51d92e77e1ad53657a8234a2b994.png 转化过程中乙烯基吡咯烷酮的碳碳双键断裂形成高聚物,所以该反应为加聚反应,故答案为:加聚反应;
3db708cff2a7b35e51966bc4cbec8ef5.png 聚乙烯吡咯烷酮的分子式为
1d3a9488fef14b11b056fd87008a5f68.png ,所以相对分子质量为111n故答案为:111n
5fd4067b9bca2ae5bc50fbc47b537c0d.png 乙烯基吡咯烷酮与NaOH溶液反应的化学方程式为:
303cc7148f1a54c0cf92aef4e33f75cb.png 故答案为:
303cc7148f1a54c0cf92aef4e33f75cb.png

57790ae173cb6070d53a89b57c0c9cdc.png
本节课了解聚合物的组成与结构特点,认识单体和单体单元(链节)及其与聚合物结构的关系,培养学生宏观辨识与微观探析的科学素养,理解合成高分子的基本方法——加聚反应和缩聚反应的原理及反应特点,培养证据推理与模型认知的科学素养。在教学中密切联系生活实际初步体验高分子材料在国民经济发展和现代科学技术中的重要作用

您需要登录后才可以回帖 登录 | 立即注册

本版积分规则

Archiver|手机版|小黑屋|5432教案网 ( 蜀ICP备2022024372号-1 |川公网安备51152402000101号 )|网站地图

GMT+8, 2026-5-26 14:03 , Processed in 3.125660 second(s), 32 queries .

Powered by Discuz! X3.5

© 2001-2026 Discuz! Team.

快速回复 返回顶部 返回列表