找回密码
 立即注册
搜索
查看: 98|回复: 0

[人教版] (选必3)1.1.1 有机化合物的分类方法(解析版)(导学案1)

[复制链接]

4万

主题

224

回帖

19万

积分

管理员

积分
197640
发表于 2026-4-3 06:00:53 | 显示全部楼层 |阅读模式
  • 有机化合物的结构特点与研究方法
第一节   有机化合物的结构特点
1.1.1 有机化合物的分类方法

ebba3c46d7188b3adf0ec516673616b9.png
1.解有机化合物的分类方法,认识一些重要的官能团
2. 能够通过官能团的性质,分析物质的化学性质

8782edf28c15ac32d21d6947456ef67c.png
教学重点:了解有机化合物的分类方法,认识一些重要的官能团
教学难点:分类思想在科学研究中的重要作用,

afa63b075e40656b6af52147aad05a2a.png
[学生活动一]
阅读课本,完成下列问题
一、有机化合物的分类方法
1.有机化合物数量繁多 ,为便于研究 ,需要对其进行合理分类。按照不同的结构特点,有机化合物主要有两种不同的分类方法,一是根据来分类 ,二是依据
来分类
2. 根据碳骨架分类

e9af0938022df82226f861cf41c3f2e3.png
【答案】
1、构成有机化合物分子的碳骨架        有机化合物分子中的官能团
  • 根据碳骨架分类

4b3046463d26152329cd14f6659def70.png
[思考与交流]
1.如何区别脂环化合物和芳香化合物?
【答案】
脂环化合物:分子中含有碳环(非苯环)的化合物。如
ebffa00278c067689b941d5c3aa71e18.png (环戊烷)
4561727f15e13c36efd61057bfe13d1f.png (环己烯)
3dc7de3d2ad0b952312276093d0602d1.png (环己醇)等。
芳香化合物:分子中含有苯环的化合物。如
54ba1acad9d225b447421ae8a7ac2a0a.png ()
ba6f4c8196f83b65b91b671d5946838c.png ()
2352dd1adf38ef722f03a35251bf05e6.png (溴苯)等。
[学生活动二]
完成下列练习
[跟踪练习]
  • 下列关于有机物的说法正确的是      
A. 根据碳骨架的不同,有机化合物可分为烃和烃的衍生物B. 有机物既属于烯烃,也属于醛C. 有机物含有的官能团为羟基、羧基D. 分子式为的有机物一定含碳碳双键
【答案】C
【解析】
A.根据碳骨架的不同,有机化合物可分为链状有机物和环状有机物,故A错误;B.该有机物属于烃的衍生物,不属于烯烃,故B错误;C.该有机物含有的官能团为羟基、羧基,故C正确;D.分子式为的烃可能为环烷烃,不一定含有碳碳双键,故D错误。故选C2.在物质分类中常存在包含关系,如图A包含B。下列关系中前者包含后   者,其中正确的是
623e459bb0459ca28aa88e0e3686e5af.png
eb547647b6d4571a52195074f2e89af5.jpg
A. 脂环化合物;
d86487d6177d1c9fe1dcace2f22307c8.jpg B. 取代反应;水解反应、酯化反应C. 羧基;羟基D. 高分子化合物;异戊二烯、酚醛树脂
【答案】B
【解析】
  • 脂环化合物是一类性质和脂肪族化合物相似的碳环化合物,题给物质属于芳香族化合物,A项错误;B.取代反应包含水解反应、酯化反应,B项正确;C.羧基和羟基都是独立的官能团,羧基中不含有羟基,C项错误;D.异戊二烯不是高分子化合物,D项错误。故选B.
[学生活动三]
依据有机物的分类方法,完成下列表格
3.根据官能团分类
  • 烃的衍生物:                                                         
  • 官能团 :                                                            
  • 官能团和基、根(离子)的比较
官能团

(离子)
概念
电性



稳定性


实例



联系
官能团属于基,但是基不一定是官能团,如甲基(—CH3)不是官能团;根和基可以相互转化,如OH失去1个电子可转化为—OH,而—OH获得1个电子可转化为OH
(4)有机物的主要类别、官能团和典型代表物
烃类物质
类别
官能团
典型代表物
结构
名称
名称
结构简式
烷烃


烯烃
炔烃
芳香烃
烃的衍生物
类别
官能团
典型代表物
结构
名称
名称
结构简式
卤代烃





羧酸


酰胺
【答案】
3.根据官能团分类
  • 烃的衍生物:烃分子中的氢原子可以被其他原子或原子团所取代
  • 官能团:决定有机化合物特性的原子或原子团
  • 官能团和基、根(离子)的比较
官能团

(离子)
概念
决定化合物特殊性质的原子或原子团
化合物分子中去掉某些原子或原子团后,剩下的原子团
指带电荷的原子或原子团
电性
电中性
电中性
带电荷
稳定性
不稳定,不能独立存在
不稳定,不能独立存在
稳定,可存在于溶液中、熔融状态下或晶体中
实例
—OH羟基
—CHO醛基
—CH3甲基
—OH羟基
—CHO醛基
—COOH羧基
OH氢氧根离子
联系
官能团属于基,但是基不一定是官能团,如甲基(—CH3)不是官能团;根和基可以相互转化,如OH失去1个电子可转化为—OH,而—OH获得1个电子可转化为OH
(4)有机物的主要类别、官能团和典型代表物
烃类物质
类别
官能团
典型代表物
结构
名称
名称
结构简式
烷烃


甲烷
CH4
烯烃

5ba29dc2fc62aeeda6dcf0106d15efce.png
碳碳双键
乙烯
CH2===CH2
炔烃
—C≡C—
碳碳三键
乙炔
HC≡CH
芳香烃




5bc9912a0bf75a859d358ec8105578a5.png
烃的衍生物
类别
官能团
典型代表物
结构
名称
名称
结构简式
卤代烃
—X
卤素原子
溴乙烷
CH3CH2Br

—OH
羟基
乙醇
CH3CH2OH

—OH
羟基
苯酚

aed21e0bfd018c1c71068ecf0f4b69dd.png


fc74219c4b1ea49b0b93ed6c4c7f3883.png
醚键
乙醚
CH3CH2OCH2CH3


3566da0e2fe72665f8980e05e2ff7e90.png
醛基
乙醛

47e72b928967db23570007d8a8620743.png


e68e0492f921ba1df4000d7647456ad2.png
羰基(酮基)
丙酮

a6a10fb791d35d0ef4cabc73237528b3.png
羧酸

fff05c2db01b9d58108dfac914e438ea.png
羧基
乙酸

0793b4253d75e3c6d75c7f0fd7921ce2.png


43a7a4cdd3a7283435d316ce4875b485.png
酯基
乙酸
乙酯

2eed86dfc1276e2660357011f2f503b2.png

-NH2
氨基
甲胺
CH3NH2
酰胺

b98c79cdb43baf5ca1f3f05f5d06e969.png
酰胺基
乙酰胺
CH3CONH2
[思考与交流]
  • 辨识有机化合物的一般方法是从碳骨架和官能团的角度对其进行归类,并根据官能团推测其可能的性质,请按官能团的不同对下列有机化合物进行分类,指出他们的官能团名称和所属的有机化合物类别,以及分子结构中的相同点和不同点。

1ab7086e9c8fbeb42ed4b62e6d5be8bb.png
  • 有机化合物的官能团决定其化学性质,丙烯酸(CH2=CHCOOH)是重要的有机合成原料,请指出分子中官能团的名称,并根据乙烯和乙酸的官能团及性质,推测丙烯酸可能具有的化学性质。
【答案】
  • ① 为卤代烃,官能团为—Br,溴原子
为酚,官能团为—OH,酚羟基
  • 为醇,官能团为—OH,醇羟基
  • 为醛,官能团—CHO,醛基
  • 为酸,官能团为—COOH,羧基
  • 为酯,官能团为—COO— ,酯基
上述六种物质均为芳香烃衍生物,官能团不同,性质不同。
  • 丙烯酸(CH2=CHCOOH)中官能团为,—COOH,可能具有化学性质:氧化反应/加成反应、加聚反应、酸性、酯化反应、缩聚反应等。
[学生活动四]
完成下列练习
[跟踪练习]
1.下列有关水杨酸
e84d21b376fff9e89dbedf4479a1be89.png 的说法正确的是   
A. 属于芳香烃        B. 能发生水解反应C. 含有三种官能团        D. 能与酸性高锰酸钾溶液反应
【答案】D
【解析】
A.芳香烃通常指分子中含有苯环结构的碳氢化合物,水杨酸结构中含有羧基和羟基,不是碳氢化合物,故A错误;B.水杨酸结构中含有苯环、羧基和羟基,不能反生水解反应,故B错误;C.水杨酸结构中含有羧基和羟基两种官能团,故C错误;D.水杨酸结构中含有酚羟基,能被酸性高锰酸钾氧化使其褪色,故D正确;故选D
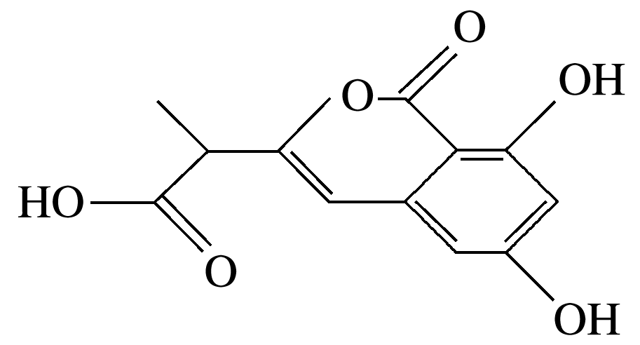
2.是处于临床试验阶段的小分子抗癌药物,分子结构如图。下  列说法正确的是
623e459bb0459ca28aa88e0e3686e5af.png
9f0646f71727732e73460ee02592a270.png
A. 该有机物的化学式为B. 该有机物含有三种官能团C. 该物质不属于芳香化合物D. 该有机物可属于羧酸类
【答案】D
【解析】
此有机物1个分子中含有10H原子,分子式为A错误;B.此有机物中含有羧基、酯基、酚羟基、碳碳双键,共四种官能团,B错误;C.含有苯环,属于芳香化合物,C错误;D. 含有羧基,属于羧酸类,D正确。
3.下列四组物质的分子式都相同,按物质的分类方法属于同一类物质的是
623e459bb0459ca28aa88e0e3686e5af.png
A.
d9927626b2dbd5c2c86335238f435cbc.png B. 正戊烷和新戊烷C. D.
058a0372e2a370bc3c942fda74933f20.jpg
bfa94cae2e6ac94ea25f4dab4efaa694.jpg
【答案】B
【解析】
A.为环烷烃,
d512d13d9a6e7fd6769d91b0226d927c.png 为中含有碳碳双键,属于烯烃,二者不属于同一类物质,故A错误;B.正戊烷和新戊烷均为烷烃,二者属于同一类物质,故B正确;C.,其中含有醚基,属于醚类,或者官能团为羟基,属于醇类,二者不属于同一种物质,故C错误;D.
6dc7e11cfc750d0cd33f2119ae66d681.png 为甲酸甲酯,官能团为酯基,属于酯类,而
1a2ee94bcdb7ed2daf1c01477b781122.png 为乙酸,官能团为羧基,属于羧酸,二者不属于同一类物质,故D错误。故选B
4.有机物有多种表示方法,请仔细观察下列物质,并按要求填空

4513c5767cb14c39ba9d18a481c21858.png
1bdb7fff3e1adc1c8dc232885628c39c.jpg
89065cbef77274434c805a0e78e89693.jpg
d9e16cdcc379bfe281c41cd74a6ad42c.jpg
334bfa7e16c4eeb0622e76e610234e12.jpg
35baf3702631e2ae2a9d67d1de0ff9e4.jpg
fc064e95ad5741f789fbe6bab52d4151.jpg
3faf89822a1d37573a1a9a2d32314d4e.png
7e748015775099f5f01cada18f90aaf8.png

cc85e2f96c2628a3b037a6ca5ca3ee43.png    的系统命名是_____________

d4b36906ada89eefaa04d84fc567f25b.png    官能团名称分别是_____________官能团电子式是_________

4b82dbbde732bb52537a9537442bd005.png    属于同系物的是___________,属于同分异构体的是___________

724c1e1fbca02de606b17ef8496b0f7f.png    属于环状化合物的是__________,属于芳香烃的是____________

33b1e63207dda7087523803742b2a8c0.png    的六氯代物有_______
【答案】
9a791089e6bc6bfc33e7432e4af9ac1a.png 二甲基丙烷
d4b36906ada89eefaa04d84fc567f25b.png 羧基、酯基顺序不能写反
5a499146f071f80cc1c188cdd4638e20.png
f5bca7681ddfb175a2e37f19887d2dc7.png
0b63f9f69e7b1190978fa43422a15abb.png
50a54b83d0edb02091f520a46fdc6473.png
【解析】

a87851a9066cca6addd3e25f7f9063c6.png 的系统命名为2二甲基丙烷,故答案为:2二甲基丙烷;
8e0955573e158a93d7c2a820f9b3447d.png 中的官能团是,名称为羧基,中的官能为酯基;官能团的官能团为,电子式为:
5a499146f071f80cc1c188cdd4638e20.png ,故答案为:羧基、酯基;
5a499146f071f80cc1c188cdd4638e20.png
4b82dbbde732bb52537a9537442bd005.png 同系物是结构相似,分子相差一个或n,根据定义属于同系物; 分子式相同,结构不同,属于同分异构体,故答案为:
724c1e1fbca02de606b17ef8496b0f7f.png 其中都有环,属于环状化合物;芳香烃是只含有碳和氢元素且含有苯环,其中是芳香烃,故答案为:
6e66931778a65a9620dac83d8fdf2c8d.png 的分子式为,其六氯代物和二氯代物种类一样多,根据定一移一可知,其二氯代物有3种,故六氯代物是3种,故答案为:3

ff89513ce61f3424b0df47de95f9eecf.png
1.下列有机物是按照碳的骨架进行分类的是(  )
A. 烷烃                        B. 烯烃
C. 芳香烃                      D. 卤代烃
【答案】C
【解析】有机物按照碳的骨架分为链状化合物和环状化合物,环状化合物又分为脂环化合物和芳香化合物,芳香烃是芳香化合物中的一类,而烷烃、烯烃、卤代烃是按分子中含有的官能团来分类的。
2.北京奥运会期间对大量盆栽鲜花施用了S­诱抗素制剂,以保证鲜花盛开,S­诱抗素的分子结构如图,下列关于该分子的说法正确的是(  )

46dc6e19888d7a9ee9c75334a1ce9888.png
A. 含有碳碳双键、羟基、羰基、羧基
B. 含有苯环、羟基、羰基、羧基
C. 含有羟基、羰基、羧基、酯基
D. 含有碳碳双键、苯环、羟基、羰基
【答案】A
【解析】从图示可以分析,该有机物的结构中存在3个碳碳双键、1个羰基、1个醇羟基、1个羧基,A选项正确。
3.有机物CH3—CH=CH—Cl不能发生的反应有(  )
①取代反应 ②加成反应 ③消去反应 ④使溴水褪色 ⑤使KMnO4酸性溶液褪色 ⑥与AgNO3溶液生成白色沉淀 ⑦聚合反应
A. ①②③④⑤⑥⑦       B. ⑦            C. ⑥        D. ②
【答案】C
【解析】分子中的氯原子和甲基上的氢原子可以发生取代反应,含碳碳双键则能发生加成反应和聚合反应,能使溴水和KMnO4酸性溶液褪色,连有氯原子的碳原子相邻碳原子上有氢原子,故能发生消去反应,但不能与AgNO3溶液反应。
4.按碳的骨架分类,下列说法正确的是(  )
A. CH3CH(CH3)2属于链状化合物
B.
db01f9652b9761295bc1ab4cd89dfc3a.png 属于芳香化合物
C.
137f84b59c163521543bd14dcfa5b328.png 属于脂环化合物
D.
46b80f49e224ae2c9f4eb40e86220369.png 属于芳香化合物
【答案】A
【解析】有机物按照碳的骨架分为链状化合物和环状化合物,环状化合物又分为脂环化合物和芳香化合物,芳香化合物与脂环化合物的区别是前者含有苯环,后者则没有。
您需要登录后才可以回帖 登录 | 立即注册

本版积分规则

Archiver|手机版|小黑屋|5432教案网 ( 蜀ICP备2022024372号-1 |川公网安备51152402000101号 )|网站地图

GMT+8, 2026-5-26 16:01 , Processed in 2.207222 second(s), 32 queries .

Powered by Discuz! X3.5

© 2001-2026 Discuz! Team.

快速回复 返回顶部 返回列表