找回密码
 立即注册
搜索
查看: 92|回复: 0

[人教版] (选必3)3.5.1 有机合成的主要任务(解析版)(导学案1)

[复制链接]

4万

主题

224

回帖

19万

积分

管理员

积分
197640
发表于 2026-4-3 06:13:25 | 显示全部楼层 |阅读模式
第三章 烃的衍生物
节  有机合成
第1课时  有机合成的主要任务

ebba3c46d7188b3adf0ec516673616b9.png
  • 掌握构建目标分子骨架、官能团引入、转化或消除的方法。
  • 结合有机反应类型,认识有机合成的关键是碳骨架的构建和官能团的转化,了解设计有机合成路线的一般方法。

8782edf28c15ac32d21d6947456ef67c.png
教学重点:碳骨架的构建和官能团的转化(重点)
教学难点:碳骨架的构建和官能团的转化(重点)

afa63b075e40656b6af52147aad05a2a.png
任务:认识有机合成
1.有机合成的概念
有机合成指利用__________的原料,通过有机反应生成具有特定结构和功能的有机化合物的过程。
2.有机合成的任务
有机合成的任务包括目标化合物分子骨架的构建和__________的转化。
任务二:认识构建碳骨架
[小组讨论]
阅读课本,讨论哪些方法可以改变碳骨架,总结方法,并举例说明
任务三:官能团的引入
[小组讨论]
  • 在碳链上引入碳碳双键、卤素原子、羟基、醛基、羧基、酯基的方法,并举例。
  • 总结官能团的转化
任务四:官能团的保护
[案例分析]
对甲基苯酚合成对羧基苯酚
合成路线设计

8cec57b20dbadf65f712b9d165df6ae0.png
原理:

措施:

[小组讨论]
总结常见官能团保护的措施

任务知识建构
【答案】
任务:认识有机合成
简单易得    官能团
任务二:认识构建碳骨架
1.构建碳骨架:包括碳链的增长、缩短与成环等
2.碳链的增长
(1)引入氰基
烯烃(炔烃)与HCN的加成反应

aef982ad1343fa6afb25d1255ef5290b.png
醛、酮中的不饱和键与HCN的加成反应

a53129fe1865972336754d3ef0c6b226.png
(2)羟醛缩合反应
含有α­H的醛在一定条件下可发生加成反应,生成β­羟基醛,进而发生消去反应。

1453551c1678c3efec1c0a77cdea66db.png
3.碳链的缩短
(1)氧化反应:苯的同系物氧化、烯烃与炔烃的氧化

882f711a80dc432c3f12a130c1efcfd1.png

f33303da057412f928824c6629a032c1.png

0294ff36858e4a141e7298f8dd7e71c8.png
(2)水解反应:酯的水解、蛋白质水解、多糖水解
(3)裂化裂解:烃的裂化、裂解
C16H34 <Object: word/embeddings/oleObject1.bin>C8H18+C8H16;C8H18<Object: word/embeddings/oleObject2.bin>C4H10+C4H8
4.碳链成环
(1)
0ab8fde97fca4641c06010915f6d2059.png
(2)形成环酯

68f0f1b1a57506b281b51c906d2e8ea2.png
(3)形成环醚

8ded7c718df45123d20643e4c6b521b5.png
任务三:官能团的引入
  • 引入官能团
引入官能团的反应类型常见的有取代、加成、消去、氧化还原
  • 引入—OH生成醇的反应有烯与H2O加成,卤代烃水解,酯水解,酮、醛与H2加成
  • 引入:醇的消去反应、卤代烃的消去反应、炔烃的不完全加成
  • 引入卤素原子:醇/酚的取代反应、烯烃/炔烃的加成反应、烷烃的取代反应、苯的取代反应
  • 引入—OH:烯与H2O加成、卤代烃水解、酯水解、酮与H2加成反应、醛与H2加成反应
  • 引入醛基:醇的氧化、烯烃氧化、炔烃水化
  • 引入羧基:醛的氧化、苯的同系物的氧化、烯烃被酸性高锰酸钾氧化、酯水解
  • 引入酯基:酯化反应
  • 官能团的转化

7651445085eedde988a597f75d1aa304.png
任务四:官能团的保护
[案例分析]
原理:甲苯可以被酸性高锰酸钾氧化成苯甲酸,但是羟基也会被酸性高锰酸钾氧化。
措施:加入一种试剂保护羟基不被氧化,我们选用的是碘甲烷。
[小组讨论]
(1)羟基的保护
羟基易被氧化,所以在氧化其他基团前可以先使其与NaOH反应,把—OH转变为—ONa保护起来,待氧化其他基团后再酸化将其转变为—OH。
(2)碳双键的保护
双键也容易被氧化,在氧化其他基团前可以利用其与卤素单质、卤化氢等的加成反应将其保护起来,待氧化其他基团后再利用消去反应将其转变为碳双键。
例如,已知烯烃中
618f9c6c13cd112a99bd35ad89fa2218.png 在某些强氧化剂的作用下易发生断裂,因而在有机合成中有时需要对其进行保护,过程可简单表示如下:

6f8826f6b53a5b8e62f9a8d5acfe84d5.png
(3)醛基的保护
醛基可被弱氧化剂氧化,为避免在反应过程中受到影响,对其保护和恢复过程为

d8ec8ae1d53dbb793bd18b3cf0c6d9e4.png
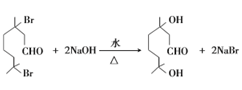
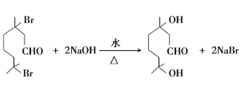
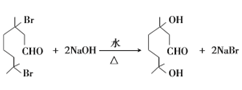
(4)-OH(醇)的保护

f26cc60b61291ce87af46628a1fcaccf.png
(5)通过某种化学途径增加官能团的个数
(6)通过不同的反应,改变官能团的位置

4cb19569026ffbe46ea8df39071f1df3.png
任务知识建构

e17ee09d30e17d027a4948c321309a80.png
ff89513ce61f3424b0df47de95f9eecf.png
  • 由乙醇制乙二酸乙二酯最简便的流程途径顺序正确的是
取代反应 加成反应 氧化反应 还原反应 消去反应 酯化反应 水解反应
A.         B.         C.         D.
【答案】B
【解析】
欲合成乙二酸乙二酯则需要合成乙二酸,合成乙二酸则需要合成乙二醛,合成乙二醛则需要合成乙二醇,合成乙二醇则需要合成1二卤乙烷,所以对应的合成路线为:乙醇
4df582ccfebe15fe2ff814359f79e3df.png 乙烯
8a8f2b1ea452a0eeac7c52b0468c2305.png 二溴乙烷
365a469b08bdbcabb431f1945af30bd4.png 乙二醇
a62f8b08ccc6a8bc7ac7cb27c1a4fdc1.png 乙二醛
ff49ea2542cca3c50673aa6ab23d2c6b.png 乙二酸
6925f29cb8073cb0c3df177d0fcd1c14.png 二酸乙二酯,所以对应的反应类型为消去反应、加成反应、水解反应或取代反应、氧化反应、酯化反应或取代反应,故B正确。故选B
  • 有机物甲的结构简式为:,它可以通过下列路线合成分离方法和其他产物已经略去:

e7fbddd77848f043e363047a57f1231c.png
下列说法不正确的是
3ccccbcda22ebd789582842bfb239ac1.png
A. 甲可以发生取代反应、加成反应和缩聚反应B. 步骤I的反应方程式是:
b09d660db57f450bb48a558151a21304.png C. 步骤IV的反应类型是取代反应D. 步骤IIV在合成甲过程中的目的是保护氨基不被氧化
【答案】B
【解析】
A.甲分子中含有氨基、羧基和苯环,可以发生取代反应、加成反应和缩聚反应,故A正确;B.步骤I是取代反应,反应方程式是:
f9304b1e9d293b46a9feaa6dbc30e59f.png ,故B错误;C.步骤IV的反应是肽键水解,所以反应类型是取代反应,故C正确;D.氨基易被氧化,所以步骤IIV在合成甲过程中的目的是保护氨基不被氧化,故D正确;故选B
  • 已知酸性:,综合考虑反应物的转化率和原料成本等因素,将转变为的最佳方法是
A. 与稀共热后,加入足量NaOH溶液B. 与稀共热后,加入足量溶液C. 与足量的NaOH溶液共热后,再加入适量D. 与足量的NaOH溶液共热后,再通入足量
【答案】D
【解析】
先在氢氧化钠溶液中水解,转化为
f54c4bb24a195e11aa0be32c0dbd8a56.png ,因为酸性
5b119a0b7f6e61ca2293f9c3cc092f3d.png
df7f2fdd96e062ab75f63b98054c85e4.png ,故再通入足量转变为
41be6c13784eafcfba20122cc441a169.png 故选D
  • 铑的配合物离子可催化甲醇羰基化,反应过程如图所示。

b173081a148e920cd40b44521f66b29e.png
下列叙述错误的是   
A. 是反应中间体B. 甲醇羰基化反应为C. 反应过程中Rh的成键数目保持不变D. 存在反应
【答案】C
【解析】
A.由物质转化流程可知,是反应的中间产物,是反应的中间体,故A正确;
B.根据物质的进出转化,反应物是甲醇和一氧化碳,产物是,故B正确;
C.反应开始时,配合物离子中Rh的成键数目是4,反应过程中成键数有65,故C错误;
D.根据反应开始时,甲醇先与HI反应转化为;即存在反应:,故D正确;
故选C
  • 柠檬醛的结构简式如图所示,主要用作柠檬和什锦水果型香精,也是合成紫罗兰酮的主要原料。

3f77d60d37af453cb473baaa83f2cb60.png

f2a9a1b92eddc64b5f09a2237e41162d.png 柠檬醛中官能团的名称是_______________

64bf2dd6241489accf90fbde6e3d3dff.png 柠檬不能发生的反应类型为_____________填字母
A.酯化反应   加成反应     氧化反应     消去反应

1fad52958dd00938a48c85824c597449.png 叶醇经催化氧化可制得柠檬醛,则香叶醇的结构简式为_____________

dbd7a1a7866df13dc6fa53746746f2db.png 双羟基香茅酸
0c53b8df3b264dfb4f2e9591f2fbd5a0.png 也是一种重要的香料,可由柠檬合成,合成路线如下:

43944853a95da8d27705f503ff753bf7.png
双羟基香茅酸的分子式为________
写出的化学方程式______________________
【答案】
f2a9a1b92eddc64b5f09a2237e41162d.png   双键;醛基
e4a589cc1c34b885cbf701c62edda081.png    
1fad52958dd00938a48c85824c597449.png
e93b7861361903b9fb5a26243036c44d.png    
9542a5f8fe5527824ada426ff913d5d7.png
dd7a0f8b65f8d6a0b426fd20d52d8714.png
【解析】

f2a9a1b92eddc64b5f09a2237e41162d.png 柠檬醛中官能团的名称是:碳双键;醛基,故答案为;碳双键;醛基;
64bf2dd6241489accf90fbde6e3d3dff.png 柠檬分子中含有1个醛基、2个碳双键,可以发生加成反应、氧化反应,不能发生酯化反应和消去反应,故答案为:AD
1fad52958dd00938a48c85824c597449.png 叶醇经催化氧化可制得柠檬醛,则柠檬醛与氢气发生还原反应即可得到香叶醇,所以香叶醇的结构简式为:
e93b7861361903b9fb5a26243036c44d.png 故答案为:
e93b7861361903b9fb5a26243036c44d.png    
dbd7a1a7866df13dc6fa53746746f2db.png 根据双羟基香茅酸的结构简式,可知其分子式为:,柠檬醛与HBr发生加成反应生成A发生卤代烃的水解反应引入羟基,B中醛基氧化生成羧基得到双羟基香茅酸,的化学方程式为:
dd7a0f8b65f8d6a0b426fd20d52d8714.png 故答案为:
dd7a0f8b65f8d6a0b426fd20d52d8714.png

您需要登录后才可以回帖 登录 | 立即注册

本版积分规则

Archiver|手机版|小黑屋|5432教案网 ( 蜀ICP备2022024372号-1 |川公网安备51152402000101号 )|网站地图

GMT+8, 2026-5-26 14:04 , Processed in 2.192067 second(s), 32 queries .

Powered by Discuz! X3.5

© 2001-2026 Discuz! Team.

快速回复 返回顶部 返回列表