找回密码
 立即注册
搜索
查看: 95|回复: 0

[人教版] (选必3)3.5.2 有机合成路线的设计与实施(原卷版)(导学案1)

[复制链接]

4万

主题

224

回帖

19万

积分

管理员

积分
197994
发表于 2026-4-3 06:14:35 | 显示全部楼层 |阅读模式
第三章 烃的衍生物
节  有机合成
2课时  有机合成路线的设计与实施

ebba3c46d7188b3adf0ec516673616b9.png
  • 在掌握各类有机物的性质、反应类型、相互转化的基础上,初步学会设计合理的有机合成路线。
  • 理解有机合成遵循的基本规律,初步学会使用逆合成法设计有机合成路线。

8782edf28c15ac32d21d6947456ef67c.png
教学重点: 逆合成分析,简单有机合成路线的设计
教学难点: 逆合成分析,简单有机合成路线的设计

afa63b075e40656b6af52147aad05a2a.png
任务一:从原料出发设计合成路线的方法
[思考与讨论]
  • 人们最初是通过发酵法由粮食制备乙酸,现在食醋仍主要以这种方法生产,工业上大量使用的乙酸是通过石油化学工业人工合成的。请以乙烯为原料,设计合理的路线合成乙酸。



  • 目前已经出现了将乙烯直接氧化生成乙酸的工艺。假定该工艺涉及的反应和(1)中合成路线的每一步反应的产率均为70%,请计算并比较这两种合成路线的总产率。



[小结]
从原料出发设计合成路线的方法(正向设计图示)
任务二:逆合成分析
  • 逆合成的基本思路

  • 逆合成的目的

  • 逆合成步骤的表示

  • 以乙二酸二乙酯这种医药和染料工业原料的合成为例,说明有机合成路线的设计和选择。




  • 逆合成的合成路线设计



任务三:设计合成路线的基本原则
[思考与讨论]
在实际工业生产中,乙二醇还可以通过环氧乙烷与水直接化合的方法合成,而环氧乙烷则可由乙烯直接氧化得到。请比较该方法与以上合成乙二酸二乙酯中的2、3两步反应,分析生产中选择该路线的可能原因。

838e39da2d832ecaa8a37c885b442f40.jpg
[小结]
依据以上所学,总结设计合成路线的基本原则
【学生活动】
如何利用乙烯合成乙酸乙酯
任务四:知识建构








ff89513ce61f3424b0df47de95f9eecf.png
  • 扎来普隆是一种短期治疗失眠症的药物,其合成路线如下:
回答下列问题:

62584fc00119112d9f33a5434ee06c21.png 中的官能团名称是________________

da06b186174bbad14f6e1ee3ff770d81.png 所需的试剂和条件分别为______________________________

926a055520f9a34dd08b3d0731317ffd.png
4f3a296c909d426bcd9f4cd2fb822b8e.png 的反应类型依次为______________________________

10f83894c7931fdd065e9fbb6c9c9f8e.png 扎来普隆的分子式为_______________________

b71c0c80a0001a4166c69ab5a4d8a1ce.png 的化学方程式为______________________________________

808cb90d3df30f367a2001d9c2c9b0e3.png 属于芳香化合物,且含有硝基,并能发生银镜反应的B的同分异构体有________
898aeba022a5ebd4a4d1b299de6339e2.png 不考虑立体异构
6f37f30d9ed85e932f51ed29c6691adb.png ,其中核磁共振氢谱有4组峰的结构简式有_____

6985d48e06da25414b7f21b4a96c959c.png 已知:
dc6b5df8f91e7877070d6afd8c07bf8b.png 有碱性且易被氧化。设计由
9d0864573e3aff85ce9bfc1a7a53fbcd.png 和乙醇制备
c5460a8de8e57401831267828131297d.png 的合成路线
898aeba022a5ebd4a4d1b299de6339e2.png 无机试剂任选
6f37f30d9ed85e932f51ed29c6691adb.png ________
  • 异戊二烯是重要的有机化工原料,其结构简式为。
完成下列填空:

916f51d92e77e1ad53657a8234a2b994.png 化合物X与异戊二烯具有相同的分子式,与
82f0c50a7140c74222953bc3610b96cc.png 反应后得到
3febf59e790ab02dbcdf8ab30b7ff98f.png 甲基
70525931e793512beb7c725d94727881.png 12
23ef21bb4fdc811d3cb1f583e9a0c4dd.png 四溴丁烷。X的结构简式为_______________

3db708cff2a7b35e51966bc4cbec8ef5.png 异戊二烯的一种制备方法如下图所示:
d0d0c6b36909794369ab452268db9864.png
A能发生的反应有________________________
898aeba022a5ebd4a4d1b299de6339e2.png 填反应类型
6f37f30d9ed85e932f51ed29c6691adb.png
B的结构简式为____________________________

5fd4067b9bca2ae5bc50fbc47b537c0d.png 设计一条由异戊二烯制得有机合成中间体
b6f2b6143b34baa093d169cc7d4ce92e.png 的合成路线。

898aeba022a5ebd4a4d1b299de6339e2.png 合成路线常用的表示方式为:
e410d1474cddb726fd6e7bbe3a3004c8.png 目标产物
6f37f30d9ed85e932f51ed29c6691adb.png
  • 呋喃酚是克百威、好安威、嚯线威等大吨位氨基甲酸酯农药合成的关键中间体。它的一条合成路线如下。根据已知条件回答下列问题:

3fcc15addbc75cde5a1e12bbd9dae247.png
已知:
5d632323ae72eb76a5c18e9c7610013f.png
a20ba8590438b9825326f0c4fc4a74a4.png

41c36e403ab3d6bf78e11db6821d2757.png
456804e5c058eb0c839e2578d872bb39.png

d3b45ce1ba2080405a92c18a53efcd39.png 的结构简式为________

3db708cff2a7b35e51966bc4cbec8ef5.png 反应
60a30e7686c3c42ae19fef1b44d44e47.png 的反应类型为________
4a9ef0394a5c9cc77116bba7f5b637da.png 的反应类型为________

5fd4067b9bca2ae5bc50fbc47b537c0d.png 写出反应
4a9ef0394a5c9cc77116bba7f5b637da.png 1步的化学方程式________

10f83894c7931fdd065e9fbb6c9c9f8e.png 呋喃酚中官能团名称是________,核磁共振氢谱图上有________个峰。

ab12204881bd2dd5080bcbb2cc259751.png
2f9116d79a2bdd34f46f02921fbda8e3.png 1
3febf59e790ab02dbcdf8ab30b7ff98f.png 丁二烯为原为,设计
02908183db5b07a7d76be0fc0391b7cb.png 的合成路线________
898aeba022a5ebd4a4d1b299de6339e2.png 无机试剂任选
6f37f30d9ed85e932f51ed29c6691adb.png
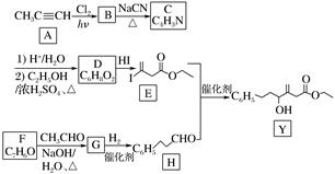
  • 近来有报道,碘代化合物E与化合物H在催化下可以发生偶联反应,合成一种多官能团的化合物Y,其合成路线如下:

0393e81fc6db8d4cac5f055e5d76df19.jpg
已知:
d125c56aafb206d59757d5d7504a7aa5.png
回答下列问题:

62584fc00119112d9f33a5434ee06c21.png 的化学名称是________

689cdff26e6e111308e047362b71ae3b.png 为单氯代烃,由B生成C的化学方程式为__________________________

5fd4067b9bca2ae5bc50fbc47b537c0d.png A生成BG生成H的反应类型分别是________________

084c255a6c40a7275b9b60244e9ce303.png 的结构简式为______________________________

462c5e7ddbb8ecd98ca72451732c8ef4.png 中含氧官能团的名称为________
0f46c11537d0a76f0874e1d73c96d046.png F
9d70a14b463ab536c7ea3738d74b7b09.png 催化下也可以发生偶联反应,产物的结构简式为___________________________________________

ded214819fd79dcf63f54c620f428374.png D互为同分异构体,且具有完全相同官能团。X的核磁共振氢谱显示三种不同化学环境的氢,其峰面积之比为
8ba4e20de66a76e682554e1ca55d1a19.png 。写出3种符合上述条件的X的结构简式,______________________________________________________

您需要登录后才可以回帖 登录 | 立即注册

本版积分规则

Archiver|手机版|小黑屋|5432教案网 ( 蜀ICP备2022024372号-1 |川公网安备51152402000101号 )|网站地图

GMT+8, 2026-5-26 17:51 , Processed in 2.459809 second(s), 31 queries .

Powered by Discuz! X3.5

© 2001-2026 Discuz! Team.

快速回复 返回顶部 返回列表