找回密码
 立即注册
搜索
查看: 98|回复: 0

[人教版] (选必3)4.2.1 氨基酸(解析版)(导学案1)

[复制链接]

4万

主题

224

回帖

19万

积分

管理员

积分
197715
发表于 2026-4-3 06:15:43 | 显示全部楼层 |阅读模式
  • 第四章 生物大分子
第二节  蛋白质
第1课时 氨基酸

ebba3c46d7188b3adf0ec516673616b9.png
1.知道氨基酸的组成、结构特点和主要化学性质,了解氨基酸、蛋白质与人体健康的关系。

8782edf28c15ac32d21d6947456ef67c.png
教学重点:氨基酸的结构特点与主要性质
教学难点:氨基酸的结构特点与主要性质

afa63b075e40656b6af52147aad05a2a.png
任务一:认识氨基酸
1.定义
羧酸分子烃基上的氢原子被取代得到的化合物称为氨基酸。氨基酸分子中含有和,属于取代羧酸。
2.结构
α-氨基酸的结构简式可表示为。其官能团为和。
3.常见氨基酸
俗名
结构简式
系统命名
甘氨酸
氨基乙酸
丙氨酸
2­氨基丙酸
谷氨酸
2­氨基戊二酸
苯丙氨酸
2­氨基­3苯基丙酸
半胱氨酸
2­氨基­3­巯基丙酸
4.物理性质
天然氨基酸均为晶体,熔点,多在200~300℃熔化时分解。一般溶于水,而溶于乙醇、乙醚等有机溶剂。
5.化学性质
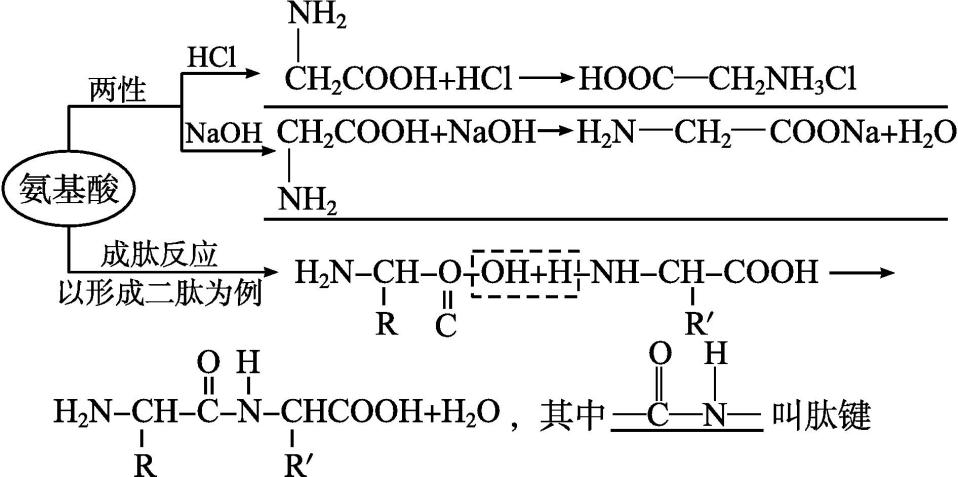
(1)两性:在氨基酸分子中,是酸性基团,是碱性基团,甘氨酸分别与盐酸、氢氧化钠的反应方程式为:。
(2)成肽反应:两个氨基酸分子(可以相同,也可以不同)在一定条件下,通过氨基与羧酸间脱去水,形成含有肽键()的化合物。

b09d3ea75c6d6e60ec47198dc8793b2c.png
[概念辨析]
①二肽:由氨基酸分子缩合后形成的含有的化合物。
②多肽:二肽继续与其他氨基酸分子缩合可生成长链的多肽。多肽常成,也叫肽链;一般把相对分子质量在以上,并具有的多肽称为蛋白质。

8cd7ce73ccf71520693ad25110e0f766.jpg
  • [学生活动1]
  • 根据成肽反应的成键和断键规律写出甘氨酸与丙氨酸反应可能生成的4种二肽的结构,学会辨识肽键,认识成肽反应过程中断键和成键的规律。
  • 写出苯丙氨酸与甘氨酸发生成肽反应生成多肽的化学方程式
任务二:知识建构
【答案】
任务一:认识氨基酸
  • 定义
氨基    氨基   羧基   
  • 结构

d1ef11116b1f073174fa8356e72cc87c.png      —COOH    —NH2
  • 常见的氨基酸
俗名
结构简式
系统命名
甘氨酸

4ed41c8bd85b63325db44b270262d8b9.png
氨基乙酸
丙氨酸

48d324ca3ef97f29304d24f9f2da7270.png
2­氨基丙酸
谷氨酸

d7ef92c8ae6c97e892ba0b22e9596a17.png
2­氨基戊二酸
苯丙氨酸

1338edc292199dae950c8c79604e94a0.png
2­氨基­3苯基丙酸
半胱氨酸

c9636cc6c4bceb0a0e7f77476e5126bd.png
2­氨基­3­巯基丙酸

  • 氨基酸的物理性质
  • 无色      较高    能     难   
  • 氨基酸的化学性质
  • (1)—COOH    —NH2
与盐酸的反应:
5b5d27cbcb30126b3220d58092bfd2a2.png
与氢氧化钠反应:
c43f30f7343c2a3892e4924019ef1b33.png
0c2e6d8bc10ce281d0e872ac7faecc5a.png
  • 缩合
[概念辨析]
两个    肽键     链状     10 000    一定空间结构
  • [学生活动1]



ab14ae29a062f136b0b6c6484107ab2f.png
任务二:知识建构

f7fc1ec483e049cb52a243eaaf05a2ef.jpg

937054dba5ecaeb192bb22b33bcae960.jpg

ff89513ce61f3424b0df47de95f9eecf.png
  • 下列有关氨基酸的说法中错误的是
  • A. 结构简式一般可用如图表示B. 氨基酸是两性化合物C. 在酸溶液中主要以阳离子形式存在D. 发生加聚反应可生成蛋白质
  • 【答案】D
  • 【解析】略
  • 中华传统文化中蕴含着诸多化学知识,下列说法正确的是
  • A. “杨花榆荚无才思”中的“榆荚”主要成分为蛋白质B. “霾尘积聚难见人”,雾和霾是气溶胶,具有丁达尔效应C. “日照香炉生紫烟”中的紫烟指“碘的升华”D. “火树银花不夜天”指的是金属单质的焰色反应,属于化学变化
  • 【答案】B
  • 【解析】
  • 榆荚又称榆钱,主要成分是纤维素,故A错误; B.雾和霾属于气溶胶,具有丁达尔效应,故B正确; C.“紫烟”是水气受到光照后产生的光学现象,故C错误; D.“火树银花”指的是金属元素的焰色反应,焰色反应是原子中电子的跃迁,不属于化学性质,故D错误;
  • 下列说法正确的是
  • A. 牛油与NaOH浓溶液、乙醇混合加热充分反应后的混合液中,加入热的饱和食盐水促使固体物质析出B. 银镜反应、硝基苯的制备和实验室制备乙烯气体均采用水浴加热C. 固态氨基酸主要以内盐形式存在,熔点较高,易溶于有机溶剂D. 蔗糖、麦芽糖和乳糖的分子式都为,均能发生银镜反应
  • 【答案】A
  • 【解析】
  • A.将牛油和烧碱溶液混合加热发生水解生成甘油和高级脂肪酸钠,充分反应后加入热的饱和食盐水,甘油易溶于水,高级脂肪酸钠的密度较小,在上层析出,从而实现高级脂肪酸钠和甘油的分离,故A正确;B.银镜反应、硝基苯的制备均采用水浴加热,但实验室制备乙烯气体需要,用水浴加热无法达到,故B错误; C.氨基酸分子内的氨基与羧基反应生成内盐,熔点较高,不易挥发,溶于水,微溶于热乙醇,难溶于有机溶剂,故C错误;D.蔗糖、麦芽糖和乳糖的分子式都为,其中麦芽糖和乳糖为还原性糖,二者能发生银镜反应,而蔗糖不具有还原性,不能发生银镜反应,故D错误。
  • 糖类、油脂、蛋白质是人类基本营养物质,关于糖类、油脂、蛋白质的说法正确的是
  • A. 单糖可以发生水解反应B. 油脂皂化是取代反应,硬化也是取代反应C. 氨基酸、多肽、蛋白质都具有两性D. 饱和、溶液均可用于蛋白质的盐析
  • 【答案】C
  • 【解析】
  • A.单糖不能发生水解反应,故A错误;B.皂化反应是油脂在碱性条件下的水解反应,属于取代反应,油脂的硬化是油脂和氢气发生的加成反应,故B错误;C.氨基酸分子中含有氨基和羧基,既能够与酸反应,又能与碱反应;多肽、蛋白质是由氨基酸形成的,也含有氨基和羧基,故C正确;D.硫酸铜是重金属盐,蛋白质遇硫酸铜发生变性,故D错误。故选:C。
  • 邮票被誉为国家名片,新中国化学题材邮票是我国化学史不可或缺的重要文献。下列说法正确的是

96971f357ae37dcda655bdeffe500f65.png
a75c6695ea137a87cb853d433b845f4f.png   
80b16ddc71382ad239d2f799221e0f2c.png   
71686bef54c410ad915332d75430a84f.png
  • A. 邮票甲中的人物是侯德榜,创立了中国人自己的制碱工艺索尔维制碱法B. 邮票乙中的图是用橡胶生产的机动车轮胎,塑料、橡胶和纤维被称为三大合成材料C. 邮票丙中的图是显微镜下的结晶牛胰岛素,我国首次合成的结晶牛胰岛素属于氨基酸D. 邮票丁是纪念抗击非典的邮票,冠状病毒可用紫外线、高温等杀死
  • 【答案】D
  • 【解析】
A.侯德榜创立了中国人自己的制碱工艺
bcc5d9b443e1aead1898480ec70239ee.png 侯氏制碱法,故A错误;B.塑料、合成橡胶和合成纤维被称为三大合成材料,它们不断替代金属成为现代社会使用的重要材料,故B错误;C.我国科学家在1965年首次合成了具有生命活力的蛋白质--结晶牛胰岛素,结晶牛胰岛素属于蛋白质,C项错误;D.病毒为蛋白质,而紫外线、苯酚溶液、高温加热均可以使蛋白质变性,故紫外线、苯酚溶液、高温可以杀菌消毒,故D正确。
您需要登录后才可以回帖 登录 | 立即注册

本版积分规则

Archiver|手机版|小黑屋|5432教案网 ( 蜀ICP备2022024372号-1 |川公网安备51152402000101号 )|网站地图

GMT+8, 2026-5-26 16:59 , Processed in 3.354602 second(s), 31 queries .

Powered by Discuz! X3.5

© 2001-2026 Discuz! Team.

快速回复 返回顶部 返回列表