找回密码
 立即注册
搜索
查看: 154|回复: 0

[人教版] (选必3)第2章烃第2节第1课时烯烃(导学案2)

[复制链接]

4万

主题

224

回帖

19万

积分

管理员

积分
197640
发表于 2026-4-3 06:20:14 | 显示全部楼层 |阅读模式
第1课时 烯烃
发 展 目 标
体 系 构 建
1.结合代表物,认识烯烃的组成和结构特点,理解烯烃的化学性质及应用,培养“宏观辨识与微观探析”的核心素养。
2.根据烯烃的加成反应,了解加成反应的特点,培养“变化观念与模型认知”的核心素养。

dc05921fb843189186f2ecee028e82fa.png

8b89b25a3db2a5fa5f0a9c739f693f46.png

3cee7160e15a3e9c5e87f297277b5ba1.png
一、烯烃的结构与性质
1.乙烯——最简单的烯烃
(1)共价键的形成:分子中的碳原子均采取sp2杂化,碳原子与氢原子形成σ键,两碳原子之间形成双键(1个σ键和1个π键)。
(2)空间结构:乙烯分子中的所有原子都位于同一平面,相邻两个键之间的夹角约为120°
(3)物理性质:乙烯为无色、稍有气味的气体,难溶于水,密度比空气的略小。
(4)化学性质:
b.被酸性KMnO4溶液氧化,使酸性KMnO4溶液褪色。
②加成反应:与溴的四氯化碳溶液反应,方程式为

6c847cd894129d014987d0237bfd52b8.png
③加聚反应:反应方程式为
1be7e8269187f782eb3010074deb8c3e.png
a4541bdde7934717e995bfffeaaee29f.png
2.烯烃
(1)结构:官能团是碳碳双键(
09cfd19e7846ca19d793f08dbc2e342b.png ),含一个
b4839558de08d1fe8a1e95d081653c69.png 的链状烯烃的通式为CnH2n(n≥2)
(2)烯烃同系物的物理性质
随着烯烃中碳原子个数的增多,熔、沸点逐渐升高,密度逐渐增大。
(3)烯烃化学性质
b.烯烃使酸性KMnO4溶液褪色。
②加成反应:丙烯与溴的四氯化碳反应:
48f3bf5e61a07521a6ef1c4d8afe35e0.png
b270312eef9405b6c748881655b0fc6f.png
③加聚反应:丙烯加聚反应:
62a86b4657aa8b247f8d537924d62f42.png
3a7386c590dbffc25877a62bdf9a2ee6.png
二、烯烃的立体异构
1.顺反异构现象
通过碳碳双键连接的原子或原子团不能绕键轴旋转会导致其空间排列方式不同,产生顺反异构现象。
2.顺反异构体
相同的原子或原子团位于双键同一侧的称为顺式结构,相同的原子或原子团位于双键两侧的称为反式结构,例如顺­2­丁烯和反­2­丁烯的结构简式分别是
656ef2b86818786dab192b7c52b856ae.png
35b1c43fd5a5d214b1ac236e5c79c36a.png
3.性质
顺反异构体的化学性质基本相同,物理性质有一定的差异。
三、二烯烃——分子中含有两个碳碳双键的烯烃
写出1,3­丁二烯与Cl2发生的加成反应
1.1,2­加成:CH2===CH—CH===CH2+Cl2―→

a4fa028df01678c257b2cdb8b9ac9dad.png
2.1,4­加成:CH2===CH—CH===CH2+Cl2―→

b28487eec0fa313d594cfcca8215c8ab.png

3adb0016cf5bf0d71ac4dd08e7ad37fb.png
1.判断正误(对的在括号内打“√”,错的在括号内打“×”。)
(1)符合CnH2n+2的烃一定为烷烃,符合CnH2n的烯一定为烯烃。                        (  )
(2)可用酸性高锰酸钾溶液区别烯烃和烷烃。         (  )
(3)分子式为C3H6的烃一定能使酸性KMnO4溶液褪色。         (  )
(4)任何烯烃均存在顺反异构现象。         (  )
[答案]  (1)× (2)√ (3)× (4)×
2.下列关于烷烃和烯烃的说法中不正确的是(  )
A.它们所含元素的种类相同,但通式不同
B.均能与氯气发生反应
C.烯烃分子中的碳原子数大于或等于2,烷烃分子中的碳原子数大于或等于1
D.含碳原子数相同的烯烃和烷烃互为同分异构体
[答案] D
3.(1)写出分子式为C4H8的烯烃的同分异构体:
_______________________________________________________
___________________________________________(键线式)。
(2)CH3CH===CH2与H2O反应生成的产物的结构简式:
_____________________________________________________。
[答案]  (1)
03b386421e5bbbd06fec7fc22ca863a2.png
(2)
7f628a919cb640f13076a59dab833a07.png

444c1f9d8e300947baacc5428ea92948.png

faf2f927f11d60ec03f701f5662fd316.png
烯烃的组成、结构与性质

c37f9f381697016f304ca19e9643210e.png
1.填表
烯烃
丙烯
1­丁烯
1­戊烯
分子式
C3H6
C4H8
C5H10
结构简式
(键线式)

9315b52f7004384b1683bcf0392e136a.png

ef429bec3d0a9d99af2d7b467705397f.png

343938372cb1b39783983ea1dad9026f.png
碳原子杂化类型
sp3、sp2
sp3、sp2
sp3、sp2
共价键类型
(σ键或π键)
σ键和π键
σ键和π键
σ键和π键
2.(1)填写乙烯、丙烯与下列物质反应的化学方程式(提示:丙烯与氯化氢、与水的反应可能有两种产物)。
试剂
乙烯
丙烯
溴水
CH2===CH2+Br2→CH2Br—CH2Br
CH3CH===CH2+Br2
CH3CHBrCH2Br
氯化氢
CH3CH2CH2Cl
CH3CHClCH3


0e2ea7db966453bf7bb14bf57abbbc60.png
CH3CH2CH2OH
(2)写出氯乙烯、异丁烯的加聚反应方程式。
[提示] 
89d64ae9e21c32e98a1fb9ba7696d279.png

06c7e0280297b6b6715d337c43c4ecf9.png

3fab4ac1d838558841b825a385f6bc9d.png
1.烯烃的组成与结构
(1)通式:CnH2n(n≥2)(含一个双键的烯烃)。
(2)碳原子的杂化及共价键类型:一定有sp2杂化,可能含sp3杂化,共价键类型有σ键和π键,以
012bad00f9515bfeb0a2951dce75f79a.png 为中心的六原子共面。
2.烯烃的化学性质

73a7aead1cc9d0e1f88179043af8773d.png
微点拨:
①溴水或酸性KMnO4溶液能鉴别烷烃与烯烃。

c32dd74e7ea93c899fd951ed6ea7855b.png 与X2的等物质的量加成存在1,2­加成和1,4­加成。

41416a0b7f542563dc95cc42539d8fc4.png
1.下列关于烯烃和烷烃的说法中,正确的是(  )
A.烯烃能使酸性高锰酸钾溶液褪色,烷烃则不能
B.乙烯分子中碳碳双键的键能是乙烷分子中碳碳单键的键能的两倍,因此乙烯比乙烷稳定
C.丙烯发生加聚反应只能形成一种分子(
25331543cbabf52f0637e78f830ecd79.png ),而所有烷烃分子之间都不会发生聚合反应
D.丙烷在光照下可以与Cl2发生取代反应,而丙烯(CH3—CH===CH2)在任何条件下都不可能与Cl2发生取代反应
A [烯烃分子中含有碳碳双键,性质活泼,易发生加成、加聚反应,能与酸性KMnO4溶液反应而使其褪色,而烷烃是饱和烃,不能发生上述反应,A项正确;碳碳单键和碳碳双键的键能大小关系是
632ccd0cf2121088afbd974a5eb3609a.png
44b0a1c471b99905cfe9f6a54b712626.png ,乙烯中的双键比较活泼,故乙烯没有乙烷稳定,B项错误;丙烯形成的加聚产物中,有许多种n值不同的分子,C项错误;丙烯中有饱和烷基(—CH3),在一定条件下能发生取代反应,D项错误。]
2.根据乙烯推测2­丁烯的结构或性质,下列说法正确的是(  )
A.分子中四个碳原子在同一直线上
B.分子中所有原子都在同一平面上
C.与HCl发生加成反应只生成一种产物
D.不能发生加聚反应
C [乙烯分子为平面结构,由乙烯分子的空间结构可知,2­丁烯分子中的四个碳原子不可能在同一直线上,A错误。2­丁烯分子中存在甲基,所有原子不可能在同一平面上,B错误。2­丁烯与HCl发生加成反应,产物只有一种,C正确。2­丁烯中含有碳碳双键,可以发生加聚反应,D错误。]
3.与等物质的量的Br2发生加成反应,生成的产物可能是(  )

3c84efa87b3f692d54ab8ef5b0595ff5.png
B [1,3­戊二烯与等物质的量的Br2发生加成反应时,可能的生成物有
47769b24a353b070f294e682d4148f1d.png ,故B正确。]

62c9a5aafe5f0412a2b6449e169a0867.png
烯烃的立体异构和二烯烃的加成

c07e8016f9a47e24d96ab65300498067.png
分子式为C4H8的烯烃共有(要考虑顺反异构)(  )
A.3种   B.4种   C.5种   D.6种

7b01978e9409862e8fde2063c6e3780f.png

f6cc204679686655f9d296d01b9645ba.png
 有机物的顺反异构思维判断
(1)顺式结构和反式结构的原子或原子团的连接顺序以及双键的位置均相同,区别仅仅是原子或原子团在空间的排列方式不同。
(2)如果用a、b、c表示双键碳原子上的不同原子或原子团,那么,因双键所引起的顺反异构可以表示如下(其中前两种为顺式结构,后两种为反式结构)

cc8acc4cf091b57f555124697aabe608.png

eae1c4fd9773a95ed1a2d11e8245f2dc.png

41416a0b7f542563dc95cc42539d8fc4.png
1.分子式为C3H5Cl且可以因发生加成反应使溴的四氯化碳溶液褪色的有机物的可能结构(考虑顺反异构)共有(  )
A.3种   B.4种  C.5种   D.6种
B [根据氯原子的位置不同,可写出3种结构简式:
CH2===CHCH2Cl、CH2===CClCH3、CHCl===CHCH3,其中CHCl===CHCH3还存在顺反异构体,故共有4种可能的结构。]
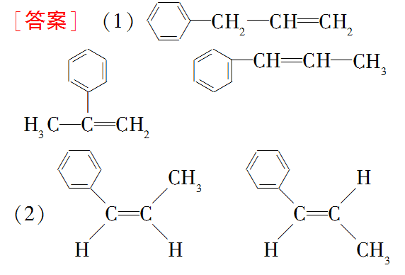
2.苯丙烯的同分异构除有三种位置异构外还有一对顺反异构,分别写出其结构简式:
(1)三种位置异构:_____________、_______________、_____________。
(2)两种顺反异构:__________________、________________。
[解析] 首先写出苯丙烯的三种位置异构,以丙烯作母体,以苯基作取代基;再由碳碳双键两端碳原子上若连有不同的原子或原子团,则还存在顺反异构。
丙烯的结构简式为CH2===CH—CH3,将
235658bac5eac63a8e319cb8c3cb4c7d.png 作为取代基,共有三种同分异构体,即
47e65a6d8edb0ac36cceeb4975139e9b.png
9461ede43f9ad462a115ab893fba7017.png ,其中
dffb432307dd81f93d9633acfba53cb1.png 还存在顺反异构现象,当两个相同的原子或原子团在双键同侧时为顺式结构,两个相同的原子或原子团在双键两侧即为反式结构。

0e3348f1844af2ee05d929e126d11c4b.png

5acc77bd01bd9769e51d7a8e695cabff.png
烯烃命名
(1)选含“
7cbbd4bc300fb603442aca453cd26048.png ”的最长碳链为主链,称“某烯”。
(2)从距离碳碳双键最近的一端为起点编号,使双键碳原子编号最小。
(3)写名称时,先用汉字数字在烯名称前表示双键个数并注明位置,取代基写在最前面。

eae1c4fd9773a95ed1a2d11e8245f2dc.png
29b97bda81820673a45857ef67f9807d.png
1.下列关于乙烯和乙烷相比较的说法中,不正确的是(  )
A.乙烯属于不饱和链烃,乙烷属于饱和链烃
B.乙烯分子中所有原子位于同一平面上,乙烷分子则为立体结构,所有原子不在同一平面上   
C.乙烯和乙烷中的共价键均有σ键和π键
D.乙烯能使酸性KMnO4溶液褪色,乙烷不能
C [乙烷中只有σ键无π键,C不正确。]
2.丙烯是一种重要的化工原料、燃料,下列有关丙烯及聚丙烯的说法正确的是(  )
A.丙烯与等物质的量的氯化氢加成,只生成一种产物
B.1 mol丙烯完全燃烧的耗氧量为4.5 mol
C.聚丙烯的链节是—CH2—CH2—CH2
D.1 mol丙烯和1 mol聚丙烯完全燃烧放出CO2的量相同
3.下列说法正确的是(  )
A.C2H4与C4H8一定互为同系物
B.乙烯和乙烷都能使酸性KMnO4溶液褪色
C.1­丁烯与2­丁烯互为同分异构体
D.新戊烷和2,2­二甲基丙烷互为同分异构体
C [C4H8可以是烯烃也可以是环烷烃,A项错误;乙烯能使酸性KMnO4溶液褪色,而乙烷不能,B项错误;新戊烷和2,2­二甲基丙烷是同一种物质,D项错误。]
4.下列有机物分子中,可存在顺反异构体的是(  )
A.CH2===CHCH3          B.CH2===CHCH2CH3
C.CH3CH===C(CH3)2          D.CH3CH===CHCl
[答案] D
5.(素养题)某烃类化合物A的质谱图表明其相对分子质量为84,红外光谱表明分子中含有碳碳双键,核磁共振氢谱表明分子中只有一种类型的氢原子。
(1)A的结构简式为___________________________________。
(2)A中的碳原子是否都处于同一平面?________(填“是”或“不是”)。是否存在顺反异构?________(填“存在”或“不存在”)。
(3)A与H2O发生反应的方程式为_________________________
_____________________________________________________。
(4)A发生加聚反应生成的产物结构简式为
_____________________________________________________。
[解析](1)红外光谱表明分子中含有碳碳双键,说明可能是烯烃,由该烃的相对分子质量及烯烃的通式CnH2n,14n=84,n=6,从而得出该烃的分子式是C6H12;又该烃分子结构中只有一种化学环境的氢原子,说明它的结构对称,推断出它的结构是
3a87344eddd82635222a279c5f53866c.png
(2)根据双键碳原子及与其相连的原子一定在同一平面上的结构特点,该烯烃中的碳原子均处于同一平面;由于双键碳原子连接的基团都是甲基,故该烯烃不存在顺反异构。
(3)含
37cbf9115750397b4d73a23ec22f304a.png 可以与H2O加成反应。
(4)含
f660a592946fbf7a548b2d4b6e6db3ff.png 可以发生加聚反应。

6b166c5ba2028dbc02a67c300f72e997.png
您需要登录后才可以回帖 登录 | 立即注册

本版积分规则

Archiver|手机版|小黑屋|5432教案网 ( 蜀ICP备2022024372号-1 |川公网安备51152402000101号 )|网站地图

GMT+8, 2026-5-26 13:10 , Processed in 3.315285 second(s), 31 queries .

Powered by Discuz! X3.5

© 2001-2026 Discuz! Team.

快速回复 返回顶部 返回列表