找回密码
 立即注册
搜索
查看: 138|回复: 0

[人教版] (选必3)第2章烃第2节第2课时炔烃(导学案2)

[复制链接]

4万

主题

224

回帖

19万

积分

管理员

积分
197640
发表于 2026-4-3 06:20:33 | 显示全部楼层 |阅读模式
第2课时 炔烃
发 展 目 标
体 系 构 建
1.结合代表物,认识炔烃的组成和结构,理解炔烃的化学性质及应用,培养“宏观辨识与微观探析”的核心素养。
2.了解乙炔的实验室制法,培养“科学探究”的核心素养。

b0e0dacd4abe3b440bf040168e82b250.png

8b89b25a3db2a5fa5f0a9c739f693f46.png

3cee7160e15a3e9c5e87f297277b5ba1.png
一、炔烃
1.结构
官能团为碳碳三键(—C≡C—),含一个碳碳三键的炔烃通式为CnH2n-2
2.炔烃的物理性质递变性
随分子中碳原子数的递增沸点逐渐升高,密度逐渐增大。
二、乙炔
1.物理性质
颜色:无色;状态:气体;气味:无臭;密度:比空气略小;溶解性:水中微溶,有机溶剂中易溶
2.组成与结构
乙炔的分子式为C2H2,是最简单的炔烃,结构式是,结构简式是,空间结构为直线形结构,分子中碳原子均采取sp杂化,共价键类型有σ键和π键。
3.实验室制取
(1)试剂:电石(CaC2)和饱和氯化钠溶液。
(2)反应原理:
5642f19f2ffeb36516c4bf77493f779e.png
(3)杂质气体及除杂试剂为H2S,CuSO4溶液。
(4)收集方法:排水法。
微点拨:①为了减小电石与水的反应速率,实验时常用饱和氯化钠溶液代替水作反应试剂。
②点燃乙炔、乙烯、甲烷前要检验纯度,防止爆炸。
4.乙炔化学性质
(1)氧化反应
①乙炔容易燃烧,燃烧时火焰明亮并伴有浓烈的黑烟
微点拨:①乙炔燃烧时产生浓烈黑烟的原因是因为乙炔的含碳量很高,没有完全燃烧。
②乙炔在氧气中燃烧时火焰温度可达3 000 ℃以上,故常用它来焊接或切割金属。
②乙炔能使酸性KMnO4溶液褪色,说明乙炔能被酸性KMnO4溶液氧化
(2)加成反应
乙炔能与溴的四氯化碳溶液、卤素单质、氢气、氢氰酸、氢卤酸、水等在一定条件下发生加成反应。如:
HCCH+Br2―→CHBr===CHBr(1,2­二溴乙烯)
CHBr===CHBr+Br2―→CHBr2—CHBr2(1,1,2,2­四溴乙烷)
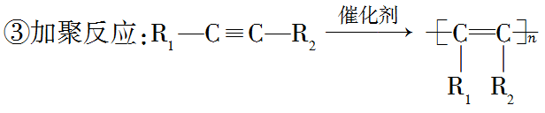
(3)加聚反应——制聚乙炔(制备导电高分子材料)
反应方程式为
63103c20367f1bf9268b67e9699d5ee0.png

283e03f22f21aaddedc8ff1fc77eacb4.png  丙炔有哪些化学性质?
[提示] 能发生氧化反应、加成反应、加聚反应。

3adb0016cf5bf0d71ac4dd08e7ad37fb.png
1.判断正误(对的在括号内打“√”,错的在括号内打“×”。)
(1)烯烃与炔烃均为不饱和烃,均能使酸性KMnO4溶液褪色。                        (  )
(2)乙炔分子中的σ键与π键个数比为1∶2。         (  )
(3)乙烷、乙烯、乙炔中的碳原子杂化类型分别为sp3、sp2、sp。                        (  )
(4)乙烯中混有的乙炔可用溴水除去。         (  )
(5)乙炔可以用电石与饱和氯化钠溶液制取。         (  )
[答案]  (1)√ (2)× (3)√ (4)× (5)√
2.鉴别乙烷、乙烯、乙炔三种气体可采用的方法是(  )
A.通入溴水中,观察溴水是否褪色
B.通入酸化的高锰酸钾溶液中,观察颜色是否变化
C.点燃,检验燃烧产物
D.点燃,观察火焰明亮程度及产生黑烟量的多少
[答案] D
3.写出下列反应的化学方程式
(1)乙炔与足量溴水反应:
______________________________________________________。
(2)乙炔与H2O的加成反应:
______________________________________________________。
[答案]  (1)CH≡CH+2Br2―→CHBr2CHBr2

444c1f9d8e300947baacc5428ea92948.png

faf2f927f11d60ec03f701f5662fd316.png
实验室制取乙炔的实验探究

c07e8016f9a47e24d96ab65300498067.png
实验室制得的乙炔中常混有H2S、PH3等杂质气体。如图是两学生设计的实验装置,用来测定电石样品中CaC2的纯度,右边的反应装置相同而左边的气体发生装置则不同,分别如Ⅰ和Ⅱ所示。

cf290c5e2a2a1ac828e846450dd6dc71.png
(1)A瓶中的液体可以从酸性KMnO4溶液和CuSO4溶液中选择,应该选择________,它的作用是_____________________________
_____________________________________________________。
(2)写出实验室制取乙炔的化学方程式:____________________
_____________________________________________________。
(3)装置Ⅰ的主要缺点是________________________________
_____________________________________________________;
装置Ⅱ的主要缺点是_______________________________;
若选用装置Ⅱ来完成实验,则应采取的措施是
_______________________________________________________
_____________________________________________________。
(4)若称取m g电石,反应完全后,测得B处溴水增重 n g,则CaC2的纯度为________。
[解析](1)酸性高锰酸钾溶液具有强氧化性,能氧化乙炔,因此选择硫酸铜溶液除去乙炔中混有的H2S和PH3气体。
(2)实验室制取乙炔的化学方程式为CaC2+2H2O―→Ca(OH)2+C2H2↑。
(3)根据装置Ⅰ的结构可知主要缺点是少量乙炔会从长颈漏斗中逸出,引起实验误差,且不易控制水的添加量。装置Ⅱ的主要缺点是反应产生的泡沫会堵塞导管;根据以上分析可知若选用装置Ⅱ来完成实验,则应采取的措施是给导管口处塞上一团棉花。
[答案]  (1)CuSO4溶液 除去乙炔气体中混有的H2S和PH3等杂质气体
(2)CaC2+2H2O―→Ca(OH)2+C2H2
(3)少量乙炔会从长颈漏斗中逸出,引起实验误差,且不易控制水的添加量 反应产生的泡沫会堵塞导管 在导管口处塞上一团棉花

3fab4ac1d838558841b825a385f6bc9d.png
1.实验室制备乙炔及其性质探究装置

9e47656bc4020da9dd250ef68f1bd7b6.png
2.制取乙炔的注意事项
(1)实验装置在使用前要先检查装置气密性。
(2)盛电石的试剂瓶要及时密封并放于干燥处,防止电石吸水而失效。
(3)电石与水反应剧烈,为得到平稳的乙炔气流,可用饱和氯化钠溶液代替水,并用分液漏斗控制滴加饱和氯化钠溶液的速率,让饱和氯化钠溶液慢慢地滴入。
(4)因反应剧烈且产生气泡,为防止产生的泡沫涌入导管,应在导管口塞入少许棉花(图示装置中未画出)。
(5)制取乙炔不能用启普发生器或具有启普发生器原理的实验装置,原因是①碳化钙吸水性强,遇水反应剧烈,不能随用、随停;②反应过程中放出大量的热,易使启普发生器炸裂;③生成的Ca(OH)2呈糊状易堵塞球形漏斗。
(6)由于电石中含有可以与水发生反应的杂质(如CaS、Ca3P2等),使制得的乙炔中往往含有H2S、PH3等杂质,将混合气体通过盛有NaOH溶液或CuSO4溶液的洗气瓶可将杂质除去。

41416a0b7f542563dc95cc42539d8fc4.png
实验室常用如图所示装置制备乙炔并检验乙炔的性质:

5ac9aa4d6330daa2a6c0fe3cfd851adb.png
A    B  C
(1)实验过程中,为减缓生成乙炔的速率,通常采取的措施是
_____________________________________________________;
(2)B中试剂是______________,作用是___________________。
(3)若C中试剂是溴水,可以观察到的现象为_______________,
反应方程式为_______________________________________。
(4)若C中试剂是酸性KMnO4溶液,观察到的现象为____________,乙炔发生________反应。
[答案]  (1)利用饱和氯化钠溶液代替水
(2)CuSO4溶液 吸收杂质H2S、PH3等气体
(3)溴水溶液褪色

fa1fe99506079864d2f1920a1d44a7db.png

62c9a5aafe5f0412a2b6449e169a0867.png
炔烃的结构与化学性质

c37f9f381697016f304ca19e9643210e.png
1.分析指出丙炔中碳原子的杂化类型和共价键类型
[提示] 
be746e9a6b89d8654b93b3ca19ceac02.png ,4个C—H σ键,2个C—C σ键,2个π键。
2.请写出1­丁炔与足量氢气完全反应的化学方程式,并分析该反应中化学键和官能团的变化。
CH3CH2CH2CH3,反应中碳原子之间形成的π键断裂,形成4个C—H σ键。
3.(1)请写出戊炔所有属于炔烃的同分异构体的结构简式,并用系统命名法命名。
(2)某炔烃通过催化加氢反应得到2­甲基戊烷,请由此推断该炔烃可能的结构简式,并命名。
[提示](1)CH≡C(CH2)2CH3 1­戊炔

a124b4c9f2d82f6948ec94a493f5192d.png

3fab4ac1d838558841b825a385f6bc9d.png
1.炔烃的结构与性质
(1)结构:分子中的碳原子一定存在sp杂化,共价键一定存在σ键和π键,以“—C≡C—”为中心的4原子共线结构。
(2)炔烃化学性质

6bbfabba97966cfd836fdc832c512052.png
②加成反应:与X2、HX、H2O、H2等发生加成反应

70a5781936c358b85f9e4b5db8ae6ce5.png
2.炔烃的命名方法
(1)选主链:将含碳碳三键的最长碳链作为主链,并按主链中所含碳原子数称为“某炔”。
(2)编序号:从距离三键最近的一端给主链上的碳原子依次编号,使三键碳原子的编号最小。
(3)写名称:先用大写数字“二、三……”在炔烃的名称前表示三键的个数;然后在“某炔”前面用阿拉伯数字表示出三键的位置(用三键碳原子的最小编号表示),最后在前面写出支链的名称、个数和位置。

41416a0b7f542563dc95cc42539d8fc4.png
1.下列说法正确的是    (  )
A.丙炔分子中三个碳原子不可能在同一直线上
B.乙炔分子中碳碳间的三个共价键性质完全相同
C.分子组成符合CnH2n-2的链烃一定是炔烃
D.在所有符合通式CnH2n-2的炔烃中,乙炔所含氢元素的质量分数最小
2.下列各选项能说明分子式为C4H6的某烃是HC≡C—CH2—CH3  ,而不是CH2===CH—CH===CH2的是(  )
A.燃烧有浓烟
B.能使酸性KMnO4溶液褪色
C.能与溴发生1,2­加成反应
D.与足量溴反应,生成物中只有2个碳原子上有溴原子
D [无论HC≡C—CH2—CH3还是CH2===CH—CH===CH2,A、B、C项所述事实均能发生,而与足量溴加成后,前者产物为
73a1bd957e9e23981000d5c7ef764913.png ,后者产物为
fbc88564b6928223996fe61e9dcaca0f.png ,故D正确。]
3.下列有机物的系统命名法正确的一组是(  )

01e525b80b0a6e0775c8ef7bfd46b058.png
C [A项,应该是4­甲基­2­戊炔,错误;B项,该有机物的名称为3­甲基­1­戊烯,错误;C项,根据有机物的命名原则,该有机物为2­甲基­2,4­己二烯,正确;D项,该有机物的名称为2,2,4­三甲基戊烷,错误。]

aeae820920bcc5a57c6414849fa8e929.png

c54e75a18f4700cde6968b490fb876dd.png
已知使用活性较低的林德拉催化剂[Pd/(PbO、CaCO3)],可使炔烃的氢化停留在生成烯烃的阶段,而不再进一步氢化成烷烃。现有一课外活动兴趣小组利用上述原理设计了一套由如图所示仪器组装而成的实验装置(铁架台未画出),拟由乙炔制得乙烯,并测定乙炔氢化的转化率。用含0.02 mol CaC2的电石和1.60 g含杂质18.7%的锌粒(杂质不与酸反应)分别与足量的X和稀硫酸反应,当反应完全后,假定在标准状况下测得G中收集到V mL水。已知电石与H2O反应可能生成杂质气体H2S。

367d2a37659efd155b0ef1e695dea483.png
A  B   C   D  E   F G

c37f9f381697016f304ca19e9643210e.png
(1)为了减慢A中的反应速率,X应选用什么试剂?写出A中反应的化学方程式。
[提示] X应选用饱和氯化钠溶液,CaC2+2H2O―→Ca(OH)2+CH≡CH↑。
(2)写出C中发生反应的方程式。
(3)D、E装置的作用是什么?
[提示] D装置吸收还原性气体H2S,E装置干燥气体。
(4)要完成上述实验,所选装置接口的连接顺序如何?
[提示] a→ed→fg→bc→h。
(5)F中留下的气体除少量空气外,还可能有什么气体?
[提示 H2、C2H4、C2H2
(6)若V=672(导管内气体忽略不计)则乙炔氢化的转化率为多少?

6b348cae5b894cd26a56b880a61c1e99.png
通过素材和问题探究,培养学生“科学探究与证据推理”的核心素养。

29b97bda81820673a45857ef67f9807d.png
1.下列关于炔烃的叙述正确的是(  )
A.1 mol丙炔最多能与2 mol Cl2发生加成反应
B.炔烃分子里的所有碳原子都在同一直线上
C.炔烃易发生加成反应,也易发生取代反应
D.炔烃不能使溴水褪色,但可以使酸性KMnO4溶液褪色
A [1 mol丙炔最多能与2 mol Cl2发生加成反应,故A项正确;乙炔、丙炔、2­丁炔等分子中的所有碳原子都在同一直线上,但1­丁炔等分子中的碳原子不在同一直线上,故B项错误;炔烃易发生加成反应,但不易发生取代反应,故C项错误;炔烃既能使溴水褪色,又能使酸性KMnO4溶液褪色,故D项错误。]
2.用乙炔为原料制取CH2Br—CHBrCl,可行的反应途径是   (  )
A.先加Cl2,再加Br2         B.先加Cl2,再加HBr
C.先加HCl,再加HBr        D.先加HCl,再加Br2
D [分析由CH≡CH到CH2Br—CHBrCl的组成变化:增加了2个溴原子、1个氢原子和1个氯原子,推得加成的物质分别是氯化氢和溴。先利用催化剂使CH≡CH与HCl生成CH2===CHCl,再与Br2反应生成CH2Br—CHBrCl。]
3.如图为实验室制取乙炔并验证其性质的装置图。下列说法不合理的是(  )

fa58213cbde061e9861a74d55d9cda3b.png
A.逐滴加入饱和氯化钠溶液可控制生成乙炔的速率
B.酸性KMnO4溶液褪色,说明乙炔具有还原性
C.若用溴的CCl4溶液验证乙炔的性质,不需要通过CuSO4溶液除杂
D.若将纯净的乙炔点燃,有浓烈的黑烟,说明乙炔不饱和程度高
C [电石跟水反应比较剧烈,所以用饱和氯化钠溶液代替水,逐滴加入饱和氯化钠溶液时可控制反应物水的量,从而控制生成乙炔的速率,A正确;酸性KMnO4溶液能氧化乙炔,因此乙炔使酸性KMnO4溶液褪色,表现了乙炔的还原性,B正确;乙炔气体中混有的硫化氢可以被Br2氧化,对乙炔性质的检验产生干扰,所以应先用硫酸铜溶液洗气,C错误;对于烃类物质而言,不饱和程度越高,则含碳量越高,火焰越明亮,冒出的烟越浓,乙炔含有碳碳三键,是不饱和程度较高的烃类物质,D正确。]
4.某烃与氢气加成后得到2,2­二甲基丁烷,该烃的名称可能是  (  )
A.3,3­二甲基­2­丁炔          B.2,2­二甲基­2­丁烯
C.2,2­二甲基­1­丁烯          D.3,3­二甲基­1­丁烯
D [与氢气加成后得到烷烃的烃可能为烯烃或炔烃,2,2­二甲基丁烷的结构简式为
c379e1c60c9d29db280534904b56f605.png ,双键或三键的位置只能在①位,若为烯烃,则为
7ba68e9044d5d782942054e141d5964c.png ,名称为3,3­二甲基­1­丁烯,D项正确,B、C项错误;若为炔烃,则为
8a0ba1f17146dc319b7a436575d72c5c.png ,名称为3,3­二甲基­1­丁炔,A项错误。]
5.(素养题)人造羊毛的主要成分是聚丙烯腈(
ed6e559268b171b6a88d3a633aea9144.png ),试写出以乙炔、HCN为原料,两步反应合成聚丙烯腈的化学方程式,并注明反应类型。
(1)_____________________________________________,
反应类型为________________;
(2)__________________________________________________,
反应类型为________________。
[解析] 可用逆向推理:
a0811e45a6fec64df6109a6581ed40e0.png
346480b2b11f2eb73a5a2919fc426e49.png
您需要登录后才可以回帖 登录 | 立即注册

本版积分规则

Archiver|手机版|小黑屋|5432教案网 ( 蜀ICP备2022024372号-1 |川公网安备51152402000101号 )|网站地图

GMT+8, 2026-5-26 13:11 , Processed in 0.132318 second(s), 31 queries .

Powered by Discuz! X3.5

© 2001-2026 Discuz! Team.

快速回复 返回顶部 返回列表