找回密码
 立即注册
搜索
查看: 86|回复: 0

[人教版] (选必3)第3章烃的衍生物第2节第2课时酚(导学案2)

[复制链接]

4万

主题

224

回帖

19万

积分

管理员

积分
197640
发表于 2026-4-3 06:22:28 | 显示全部楼层 |阅读模式
第2课时 酚
发 展 目 标
体 系 构 建
1.结合代表物苯酚了解酚的结构,理解酚的性质及应用培养“微观探析与变化观念”的核心素养。
2.根据苯酚的化学性质,理解有机物中基团之间的相互影响,培养“证据推理与模型认知”的核心素养。

9c3b63fb8a6b61923e553433ef1aeefc.png

8b89b25a3db2a5fa5f0a9c739f693f46.png

3cee7160e15a3e9c5e87f297277b5ba1.png
一、苯酚的组成、结构与物理性质
1.组成与结构
苯酚是一元酚,是酚类化合物最简单的,分子式为C6H6O,结构可表示为
54ae9e421fa3dcfe5e73c7539502d9c4.png
f1dbb4431ebb590ba753fccb626560ae.png ,官能团为羟基(—OH)
2.物理性质
(1)纯净的苯酚是无色晶体,有特殊气味,易被空气氧化呈粉红色
(2)苯酚室温下在水中的溶解度为9.2 g,当温度高于65 ℃时能与水混溶,苯酚易溶于有机溶剂
(3)苯酚有毒,对皮肤有腐蚀性,如不慎沾到皮肤上,应立即用乙醇冲洗,再用水冲洗。
二、苯酚的化学性质及应用
1.化学性质
(1)酸性——弱酸性,俗称石炭酸
实验步骤

6d213d9eab721b937d45c57749d4bf53.png
实验现象
得到浑浊液体
液体变澄清
液体变浑浊
反应方程式

483f8c05d1b0fec58a57cde07902c494.png
结论
室温下,苯酚在水中溶解度较小
苯酚能与NaOH溶液反应,表现出
酸性:
659ade2e92d4c2c036e98980bc68bb99.png <H2CO3
解释
苯环对羟基的影响,使羟基上的氢原子更活泼,在水溶液中发生电离,显示
微点拨:①苯酚与活泼金属(如Na)也反应生成H2
(2)取代反应
实验操作

beb48503ab619f2589d34479a1c7a2e7.png
实验现象
试管中立即产生白色沉淀
化学方程式

04332bfff71ee9ae512521d1f6925148.png
应用
用于苯酚的定性检验和定量测定
解释
羟基对苯环的影响,使苯环上羟基邻、对位氢原子更活泼,易被取代

283e03f22f21aaddedc8ff1fc77eacb4.png  1 mol
fb56fde6eed913bb379cb1f7d329e85c.png 与浓溴水发生反应,最多消耗Br2多少mol?
[提示] 2 mol
(3)显色反应
苯酚与FeCl3溶液作用显色,利用此性质也可以检验苯酚的存在。酚类物质一般都可以与FeCl3作用显色,可用于检验其存在。
2.应用
(1)苯酚是一种重要的化工原料,广泛用于制造酚醛树脂、染料、医药、农药等。
(2)苯酚的稀溶液可以直接杀菌消毒,如日常药皂中常加入少量的苯酚。
3.危害:含酚类物质的废水对生物具有毒害作用,会对水体造成严重污染。化工厂和炼焦厂的废水中常含有酚类物质,在排放前必须经过处理。

3adb0016cf5bf0d71ac4dd08e7ad37fb.png
1.判断正误(对的在括号内打“√”,错的在括号内打“×”。)
(1)
82f4293930f0e0b07322c5a97a875c10.png 互称为同系物。        (  )
(2)苯酚可以燃烧,但常温下不与O2反应。         (  )
(3)苯酚不慎沾到皮肤,可以用Na2CO3溶液冲洗。         (  )
(4)苯酚与醇中的—OH活性相似均不与碱反应。         (  )
[答案]  (1)× (2)× (3)× (4)×
2.下列关于苯酚的叙述中,正确的是(  )
A.苯酚常温下易溶于水
B.分子中的13个原子有可能处于同一平面内
C.可以和NaHCO3溶液反应产生气体
D.能与FeCl3溶液反应生成紫色沉淀
[答案] B
3.下列物质中:

d6664b37b259d9e801c4be65976a674d.png
(1)与Na反应生成H2的有________(填序号, 下同)
(2)与NaOH反应的有________。
(3)与浓溴水反应的有________。
(4)与FeCl3溶液显色的有________。
[答案]  (1)①②③④ (2)②③ (3)②③ (4)②③

444c1f9d8e300947baacc5428ea92948.png

d12f0741dbab16d06c372bb57ff7b54b.png
酚类与醇类的结构与化学性质比较

c37f9f381697016f304ca19e9643210e.png
1.
7296b42d3b998c5ef656840afe2d0843.png 的化学性质有哪些?并给予解释。
[提示](1)弱酸性:—OH受苯环的影响在水中可以发生微弱电离,表现酸性。
(2)与Br2的取代反应:苯环分子中相对于—OH的邻、对位碳上氢原子受—OH的影响,易发生取代反应。
(3)显色反应:与FeCl3溶液生成有色结合物而显紫色。
(4)氧化反应:苯环上受—OH的影响,易被氧化。
2.
fea52bc66d3d0d9be2cc21495a92fdef.png 的化学性质有哪些?请具体说明。
[提示](1)与活泼金属(Na)反应,(2)与羧酸的酯化反应,(3)催化氧化为醛,(4)被酸性KMnO4氧化为
8423a3108defcb46736681d35a6ca7f5.png ,(5)与HX的取代反应,(6)分子间的取代反应生成醚。
3.
e00c129993720e19fe8eee0edb398e02.png 共性有哪些?
[提示](1)均与活泼金属Na反应,(2)均可以燃烧和被酸性KMnO4溶液氧化,(3)均可以发生取代反应。

3fab4ac1d838558841b825a385f6bc9d.png
1.醇和酚的化学性质比较


共性
①与Na反应
②取代反应
③氧化反应(燃烧)和被酸性KMnO4溶液氧化
特性
①某些醇消去反应
②某些醇催化氧化生成醛(或酮)
①显色反应(遇FeCl3溶液显紫色)
②弱酸性
③与饱和溴水反应产生白色沉淀
2.酚类分子中羟基与苯环的相互影响
(1)苯环对羟基的影响
醇不与NaOH溶液反应,而苯酚呈弱酸性能与NaOH溶液反应,说明苯酚分子中的羟基受到苯环的影响,使羟基中的氢原子变得更容易电离,表现出一定的酸性。
(2)羟基对苯环的影响:苯环中,羟基邻、对位上的氢原子的活泼性增强,更易被取代。
3.苯的同系物中烃基与苯环的相互影响
(1)苯的硝化反应生成—硝基苯,而苯的同系物的硝化反应受烃基影响,使烃基所连碳的邻、对位上的C—H易发生取代,生成多硝基化合物。
(2)烷烃和苯均不能使酸性KMnO4溶液褪色,但苯的同系物中受苯环的影响,当连接苯环的第一个碳原子上有氢原子时,能使酸性KMnO4溶液褪色。

41416a0b7f542563dc95cc42539d8fc4.png
1.关于
320f60ba3fbf1441d855f9872a6b3776.png 的说法中,不正确的是(  )
A.都能与金属钠反应放出氢气
B.三者互为同系物
C.都能使酸性KMnO4溶液褪色
D.都能在一定条件下发生取代反应
B [三者不是同类有机物,结构不相似,组成也不相差若干个CH2基团,三者不互为同系物。]
2.下列说法正确的是(  )
A.苯甲醇和苯酚都能与饱和溴水反应产生白色沉淀
B.苯甲醇、苯酚在分子组成上相差一个CH2原子团,故两者互为同系物
C.
273c098042fe33dcbc94d44baa130835.png 互为同分异构体
D.乙醇、苯甲醇、苯酚都既能与钠反应,又能与NaOH反应
C [苯甲醇不能与饱和溴水反应,A项错误;苯甲醇、苯酚的结构不相似,故两者不互为同系物,B项错误;酚与分子式相同的芳香醇、芳香醚互为同分异构体,C项正确;乙醇、苯甲醇都不与NaOH反应,D项错误。]
3.漆酚是我国特产漆的主要成分,结构如下所示,苯环侧链烃基为链状结构,则下列说法错误的是   (  )

7bd8eb792835cc2c345dfc3a25f2c8ab.png
A.能与FeCl3溶液发生显色反应
B.能使酸性KMnO4溶液褪色
C.能与NaHCO3溶液反应放出CO2
D.1 mol漆酚与足量浓溴水反应最多消耗5 molBr2
C [漆酚分子中含有酚羟基,遇FeCl3溶液能发生显色反应,A项正确;酚羟基及—C15H27均能被酸性KMnO4溶液氧化,漆酚能使KMnO4溶液褪色,B项正确;酚羟基不能和NaHCO3溶液反应,C项错误;酚羟基邻位和对位氢原子可以和浓溴水发生取代反应,—C15H27中含2个碳碳双键或1个三键,可以和溴发生加成反应,即1 mol漆酚最多消耗5 molBr2,D项正确。]
4.有机物分子中的原子(团)之间会相互影响,导致相同的原子(团)表现不同的性质。下列各项事实不能说明上述观点的是 (  )
A.甲苯能使酸性高锰酸钾溶液褪色,而甲基环己烷不能使酸性高锰酸钾溶液褪色
B.乙烯能与溴水发生加成反应,而乙烷不能发生加成反应
C.苯酚可以与NaOH反应,而乙醇不能与NaOH反应
D.苯酚与溴水可直接反应,而苯与液溴反应则需要FeBr3作催化剂
B [甲苯中苯环对—CH3的影响,使—CH3可被酸性KMnO4(H)氧化为—COOH,从而使酸性KMnO4溶液褪色;乙烯能与溴水发生加成反应,是因为含碳碳双键引起的;苯环对羟基产生影响,使羟基中氢原子更易电离,表现出弱酸性;苯酚中,羟基对苯环产生影响,使苯酚分子中羟基邻、对位氢原子更活泼,更易被取代。]

aeae820920bcc5a57c6414849fa8e929.png

c54e75a18f4700cde6968b490fb876dd.png
 苯酚的分离与提纯
苯酚是一种重要的化工原料,广泛用于制造酚醛树脂、染料、医药、农药等。含酚类物质的废水对生物具有毒害作用,会对水体造成严重污染。化工厂和炼焦厂的废水中常含有酚类物质,在排放前必须经过处理。下列提供了两种分离、回收苯酚的方案:
类型一 废水中含有苯酚,其回收方案为

089be2f1741137757ed8c193198dac74.png
类型二 乙醇中混有苯酚,其回收方案为

dacd17e255e1034e404b2eb9b0f4d05e.png

c37f9f381697016f304ca19e9643210e.png
1.对于类型一中:(1)开始加入苯,利用苯的什么性质?能否改用酒精?为什么?
(2)分液用到的玻璃仪器是什么?分液时上、下层液体如何分离?
(3)苯酚的苯溶液中加入NaOH溶液,写出反应的化学方程式。
(4)从苯酚的浊液中分离苯酚为什么用分液而不用过滤?
[提示](1)苯酚易溶于苯,且苯与水不相溶。不能改用酒精,因为酒精与水互溶。
(2)分液漏斗,先把下层液体从分液漏斗的下端放出,然后再把上层液体从分液漏斗的上口倒出。

3b2d2233e373dc25658fd68a271ecb7b.png
(4)苯酚与水形成的是乳浊液而非悬浊液,静置后分层,用分液法分离。
2.对于类型二中:(1)不加NaOH溶液,直接蒸馏可以吗?为什么?
(2)蒸馏所用的玻璃仪器有哪些?
(3)蒸馏后所得的水溶液中通入足量CO2充分反应,写出有关的化学方程式。
(4)含苯酚的浊液静置后分层,苯酚在哪层?
[提示](1)不可以,苯酚和乙醇均易挥发,无法分离。
(2)蒸馏烧瓶、温度计、酒精灯、冷凝管、牛角管、锥形瓶。

f9eadc2ba857f244d1c9c27a9a9e4e15.png
(4)苯酚在下层。

6b348cae5b894cd26a56b880a61c1e99.png
通过了解苯酚的分离与提纯,培养学生“科学探究与科学精神”的核心素养。

29b97bda81820673a45857ef67f9807d.png
1.下列物质中与苯酚互为同系物的是(  )

b2b977db9a167d6420def3e5bae57c5f.png
C [互为同系物的物质首先要结构相似。苯酚的同系物应是—OH与苯环上的碳原子直接相连,其次是与苯酚在分子组成上相差一个或若干个CH2原子团,所以
51ea3fe3edf1c144d5938b5467137111.png 与苯酚互为同系物。]
2.下列关于苯酚的叙述中,不正确的是(  )
A.其浓溶液如果不慎沾在皮肤上,应立即用酒精擦洗
B.其水溶液显强酸性,俗称石炭酸
C.超过65 ℃可以与水以任意比互溶
D.纯净的苯酚是无色晶体,在空气中易被氧化而呈粉红色
B [苯酚为弱酸,水溶液显弱酸性,B错误。]
A.2C6H5ONa+H2O+CO2―→2C6H5OH+Na2CO3
B.C6H5OH+NaHCO3―→C6H5ONa+H2O+CO2
C.2C6H5OH+Na2CO3―→2C6H5ONa+H2O+CO2
D.C6H5OH+Na2CO3―→C6H5ONa+NaHCO3
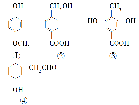
4.下列四种有机化合物均含有多个官能团,其结构简式如下所示,下列有关说法中正确的是(  )

a30056685ee83fc560565f4af4ec8fc4.png
A.①属于酚类,可与NaHCO3溶液反应产生CO2
B.②属于酚类,能使FeCl3溶液显紫色
C.1 mol③最多能与3 mol Br2发生苯环上的取代反应
D.④可以发生消去反应
D [A项有机物属于酚类,具有一定的酸性,但是酸性比碳酸弱,故其不能与NaHCO3溶液反应产生CO2,错误;B项有机物分子中没有酚羟基,故其不属于酚类,不能使FeCl3溶液显紫色,错误;C项有机物苯环上只有2个氢原子,且处于酚羟基邻位,故1 mol③最多能与2 mol Br2发生苯环上的取代反应,错误;D项有机物分子中羟基所连碳原子的邻位碳原子上有H原子,故其可以发生消去反应,正确。  ]
5.(素养题)含苯酚的工业废水必须处理达标后才能排放,苯酚含量在1 g·L-1以上的工业废水应回收苯酚。某研究性学习小组设计下列流程,探究废水中苯酚的回收方法。
(1)可用________为试剂检验水样中是否含有苯酚。
(2)操作Ⅰ的名称为________,试剂a为________。
(3)通入CO2发生反应生成苯酚的化学方程式为
_______________________________________________________
_____________________________________________________。
[解析](1)苯酚遇氯化铁溶液发生显色反应,苯酚与浓溴水反应生成白色沉淀,则可选择的检验试剂为FeCl3溶液或浓溴水。
(2)由分离流程可知,加苯是为了萃取苯酚,操作I为萃取,然后分液得到有机层;苯酚与NaOH反应生成的苯酚钠易溶于水,则试剂a为NaOH溶液。
(3)苯酚钠与二氧化碳、水反应生成苯酚、碳酸氢钠,该化学方程式为
5cacef7c76985b778d6b4c0bb0cb9a8b.png
您需要登录后才可以回帖 登录 | 立即注册

本版积分规则

Archiver|手机版|小黑屋|5432教案网 ( 蜀ICP备2022024372号-1 |川公网安备51152402000101号 )|网站地图

GMT+8, 2026-5-26 13:11 , Processed in 9.344556 second(s), 32 queries .

Powered by Discuz! X3.5

© 2001-2026 Discuz! Team.

快速回复 返回顶部 返回列表