找回密码
 立即注册
搜索
查看: 146|回复: 0

[人教版] (选必3)第4章生物大分子第2节蛋白质(导学案2)

[复制链接]

4万

主题

224

回帖

19万

积分

管理员

积分
197640
发表于 2026-4-3 06:24:27 | 显示全部楼层 |阅读模式
第二节 蛋白质
发 展 目 标
体 系 构 建
1.认识氨基酸、蛋白质的组成与结构特点,理解二者的主要化学性质,知道氨基酸与蛋白质的关系。培养“宏观辨识与微观探析、科学探究与证据推理”的核心素养。
2.了解氨基酸、蛋白质与人体健康的关系。认识人工合成多肽、蛋白质的意义,体会化学学科在生命科学发展中所起的重要作用。培养“科学态度与社会责任”的核心素养。

63c1f608b137bae8d389c101b5275bc4.png

8b89b25a3db2a5fa5f0a9c739f693f46.png

3cee7160e15a3e9c5e87f297277b5ba1.png
一、氨基酸
1.结构特点
(1)定义:羧酸分子烃基上的氢原子被氨基取代得到的化合物。含有的官能团有羧基氨基
(2)结构特点
①α­氨基酸的结构简式可表示为
d1ef11116b1f073174fa8356e72cc87c.png ,其官能团为氨基(—NH2)和羧基(—COOH)。
②手性碳原子:除甘氨酸外,一般α­氨基酸中含手性碳原子,是手性分子,具有对映异构体。
(3)重要的氨基酸
俗名
结构简式
系统命名
甘氨酸

4ed41c8bd85b63325db44b270262d8b9.png
氨基乙酸
丙氨酸

48d324ca3ef97f29304d24f9f2da7270.png
2­氨基丙酸
谷氨酸

d7ef92c8ae6c97e892ba0b22e9596a17.png
2­氨基戊二酸
苯丙氨酸

1338edc292199dae950c8c79604e94a0.png
2­氨基­3苯基丙酸
半胱氨酸

c9636cc6c4bceb0a0e7f77476e5126bd.png
2­氨基­3­巯基丙酸
2.氨基酸的性质
(1)物理性质
天然氨基酸均为色晶体,熔点较高,多在200~300 ℃熔化时分解。一般能于水,而难溶于乙醇、乙醚等有机溶剂。
(2)化学性质
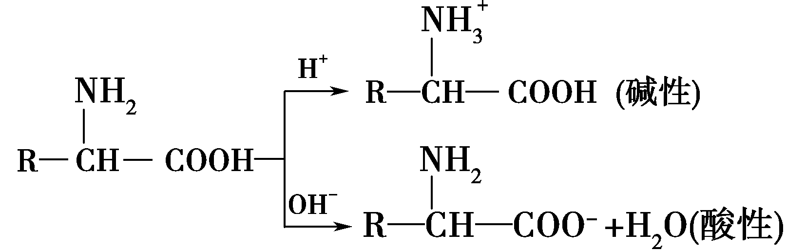
①两性
氨基酸分子中含有酸性基团—COOH和碱性基团—NH2,因此氨基酸是两性化合物,能与酸、碱反应生成盐。
a.与盐酸的反应:

5b5d27cbcb30126b3220d58092bfd2a2.png
b.与氢氧化钠反应:

c43f30f7343c2a3892e4924019ef1b33.png
0c2e6d8bc10ce281d0e872ac7faecc5a.png
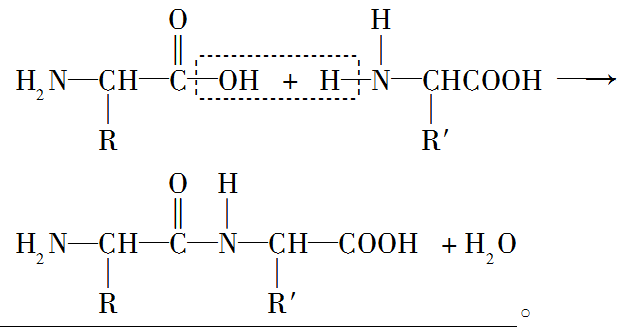
②成肽反应
两个氨基酸分子(可以相同,也可以不同)在一定条件下,通过氨基羧基间缩合脱去水,形成含有肽键
650b6a828e63b2cf2da1fae7978e7e61.png 的化合物,发生成肽反应。

9ddd95a160f89de3d4b77b4bacc13871.png
②肽链通过盘曲、折叠,相互结合形成蛋白质。
二、蛋白质
1.定义与组成
蛋白质是由多种氨基酸通过肽键等相互连接形成的一类生物大分子,是一般细胞中含量最多的有机分子。主要由C、H、O、N、S等元素组成,有些蛋白质还含有P、Fe、Zn、Cu等元素。
2.四级结构

9a53e45a265b31b0121940892e7e4918.png
3.蛋白质的主要性质
(1)两性
蛋白质的多肽由多个氨基酸缩合形成,在多肽链的两端必然存在着自由的氨基羧基,同时侧链中也往往存在酸性或碱性基团。因此,蛋白质既能与反应,又能与反应。
(2)水解
①水解原理

264c5bcc7f7b4d0a666d5a963ef8fb4c.png
②水解过程
(3)盐析:①定义:少量的某些可溶性盐(如硫酸铵、硫酸钠、氯化钠等)能促进蛋白质的溶解。但当这些盐在蛋白质溶液中达到一定浓度时,反而使蛋白质的溶解度降低而使其从溶液中析出,这种作用称为盐析。
②特点与应用:蛋白质的盐析是一个可逆过程,可以用于分离提纯蛋白质。
(4)变性
概念
在某些物理或化学因素的影响下,蛋白质的性质和生理功能发生改变的现象
影响因素
物理
加热、加压、搅拌、振荡、紫外线和放射线、超声波等
化学因素
强酸强碱重金属盐、乙醇、甲醛、丙酮等
特点
变性会使蛋白质的结构发生变化,使其失去原有的生理活性,在水中不能重新溶解,是不可逆过程
微点拨:在日常生活中有时需要利用蛋白质变性,如食物加热、消毒等,有时防止蛋白质变性,如疫苗等生物制剂需低温保存等。
(5)显色反应——可用于蛋白质的分析检测
①向蛋白质溶液加入浓硝酸会有色沉淀产生,加热后沉淀变色。
②固体蛋白质如皮肤、指甲遇浓硝酸变色。
微点拨:烫发原理:一般烫发时使用的还原剂可以使头发中的二硫键断裂,产生游离的巯基(—SH)。再用一定的工具将头发卷曲或拉直成需要的形状。然后用氧化剂使巯基之间发生反应,生成新的二硫键(—S—S—),使头发的形状得以固定。
三、酶
1.概念
是一类由细胞产生的、对生物体内的化学反应具有催化作用的有机化合物,其中绝大多数是蛋白质
2.催化特点
(1)条件温和、不需加热,一般接近体温和中性条件。
(2)具有高度的专一性,如蛋白酶只能催化蛋白质水解反应。
(3)具有高效催化作用,一般是普通催化剂的107倍。
微点拨:使用酶作催化剂时,反应温度不能过高,原因是高温下蛋白质变性,酶失去催化活性。
3.应用
酶已经得到了广泛的应用,如蛋白酶用于医药、制革等工业,淀粉酶用于食品、发酵、纺织等工业,有的酶还可用于疾病的诊断。

3adb0016cf5bf0d71ac4dd08e7ad37fb.png
1.判断正误(对的在括号内打“√”,错的在括号内打“×”。)
(1)糖类、油脂、蛋白质均只含C、H、O三种元素。         (  )
(2)氨基酸和蛋白质分子中均含—COOH和—NH2。         (  )
(3)二肽是两分子氨基酸缩合而成的化合物。         (  )
(4)医疗器械的高温消毒的实质是蛋白质的变性。         (  )
(5)酶均是蛋白质,是体内反应的催化剂。         (  )
[答案]  (1)× (2)√ (3)√ (4)√ (5)×
2.蛋白质的(  )与肽键的形成有关。                (  )
A.一级结构              B.二级结构
C.三级结构          D.四级结构
[答案] A
3.(1)丙氨酸与盐酸反应的化学方程式为
_______________________________________________________
______________________________________________________。
(2)使用浓硝酸时不慎溅到皮肤上,皮肤发黄的原因是
______________________________________________________。
(3)鉴别蛋白质和食盐溶液的方法是_______________________。
(4)分离提纯蛋白质的方法是______________________和溶解。
[答案]  
76c5b91ce8a2538ffba247a7c8a73188.png
50122a6e909d736b83d19bb5c73ad351.png
(2)浓硝酸与蛋白质发生了显色反应
(3)加入饱和(NH4)2SO4溶液,有固体析出的是蛋白质(合理即可)
(4)盐析

444c1f9d8e300947baacc5428ea92948.png

faf2f927f11d60ec03f701f5662fd316.png
氨基酸的两大化学性质

c37f9f381697016f304ca19e9643210e.png
1.甘氨酸与丙氨酸混合发生缩合反应,生成哪几种二肽?写出结构简式。

e8e6b96427bef9fdaca87fd58f30ad63.png
2.写出苯丙氨酸与甘氨酸发生成肽反应生成多肽的化学方程式。

6604759c2b5fd3a6337b914db6a176bf.png

ab14ae29a062f136b0b6c6484107ab2f.png

3fab4ac1d838558841b825a385f6bc9d.png
1.蛋白质的两性

b9303e62ca034a651e339aea4863f5a8.png
2.蛋白质的成肽反应
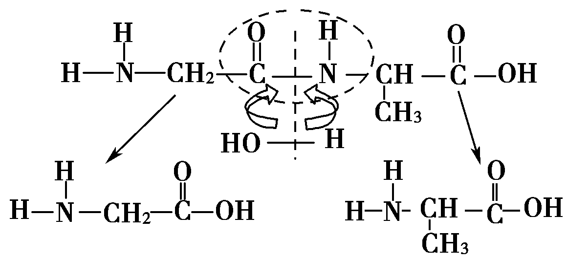
(1)二肽
氨基酸分子的羧基与另外1个氨基酸分子的氨基脱水形成肽键,根据参与反应的羧基或氨基的不同可形成多种二肽。
(2)成环——分子内或分子间脱水成环

eb896b80c2df9e9a16f070bd336123fa.png
(3)氨基酸分子缩聚成高分子化合物

54c4b955f9fbf42fce30906d577675e8.png
2178a68ca8e0a6ec3f625009355fa256.png

41416a0b7f542563dc95cc42539d8fc4.png
1.据杂志报道,美国的科学家发现半胱氨酸能增强艾滋病病毒感染者的免疫力,对控制艾滋病病毒的蔓延有奇效。已知半胱氨酸的结构简式为
aeee3b5492aec4820e1216597cf76cbe.png ,则下列说法错误的是(  )
A.半胱氨酸属于α­氨基酸
B.半胱氨酸既能跟强酸反应又能跟强碱反应
C.半胱氨酸不能与NaOH溶液反应放出碱性气体
D.两分子半胱氨酸脱水形成的二肽结构简式为
10c058e4693ed4b1a2c9671e72549da0.png
D [A项,半胱氨酸可以看作是HSCH2CH2COOH中α­碳原子上的氢原子被氨基取代的产物,是α­氨基酸;B项,半胱氨酸既含有羧基又含有氨基,既能跟强碱反应又能跟强酸反应;C项,半胱氨酸与NaOH溶液反应只能生成半胱氨酸钠,不能生成氨气;D项,两分子半胱氨酸脱水形成的二肽结构简式应为
0493652b2671630aa91661a09c628e06.png 。]
2.某人工合成的多肽具有如下结构:

8ebf9d9c3fa1a1e535590704a053bf94.png
试回答下列问题:
(1)若n=3,则该化合物为________肽(填汉字)。
(2)若n=200,则该化合物的一个分子水解时所需水分子的数目为________。
(3)该化合物水解可以得到的单体有________、________、__________(写结构简式)。
[解析](1)多肽的个数与氨基酸的个数相同。
(2)水解所需的H2O数目为3×200-1=599。
(3)将肽键断开形成氨基酸
828c148aec121cbfa1850c884baad057.png +—NH2
[答案]  (1)九 (2)599 (3)H2N—CH2—COOH 
73ae14963676355e33085a2adb7efcbd.png

62c9a5aafe5f0412a2b6449e169a0867.png
蛋白质的主要性质及其应用

fe90de734d0c4fb134f03105fc9073e0.png
1.在试管中加入2 mL饱和(NH4)2SO4溶液,向其中加入几滴鸡蛋清溶液,振荡,有什么现象?再继续加入蒸馏水,振荡又有什么现象?可以得出什么结论?
[提示] 先变浑浊或有沉淀生成,加入蒸馏水振荡,溶液又变澄清或沉淀溶解。蛋白质的盐析是一个可逆过程,析出后蛋白质仍有活性,可用于分离提纯蛋白质。
2.在三支试管中各加入2 mL鸡蛋清溶液,将一支试管加热,向另两支试管中分别加入硝酸银溶液和乙醇,分别有什么现象?再向试管中加入蒸馏水,又有什么现象?可以得出什么结论?
[提示] 三支试管均有沉淀生成,加入蒸馏水后沉淀均不溶解。蛋白质在加热、加重金属盐或乙醇,蛋白质变性,变性的蛋白质失去活性,变性为不可逆过程。
3.向盛有2 mL鸡蛋清溶液的试管中加入5滴浓硝酸,加热,有什么现象?体现了蛋白质的什么性质?
[提示] 先生成白色沉淀,加热后白色沉淀又变黄色;蛋白质的显色反应。
4.如何鉴别制作衣服的人造丝与真丝?
[提示] 灼烧法。灼烧时有烧焦羽毛气味的是真丝。

3fab4ac1d838558841b825a385f6bc9d.png
1.蛋白质的六大性质
两性—水解—盐析—变性—显色—灼烧时烧焦羽毛气味
2.蛋白质的水解
在酸、碱或酶的作用下,肽键断裂,碳原子连接羟基,氮原子连接氢原子。
肽键水解原理示意图如下:

5dbec5b59f7c1a764c08a22a47d31806.png
3.蛋白质的盐析与变性
盐析
变性
概念
蛋白质在某些盐的浓溶液中溶解度降低而析出
蛋白质在加热、强酸、强碱等条件下性质发生改变而凝结起来
特征
可逆
不可逆
实质
溶解度降低,物理变化
结构、性质改变,化学变化
条件
钠、镁、铝等轻金属盐或铵盐的浓溶液
加热、强酸、强碱、强氧化剂、紫外线、重金属盐、苯酚、甲醛、乙醇等
用途
分离提纯蛋白质
杀菌、消毒
实例
硫酸铵或硫酸钠等盐溶液使蛋白质盐析
重金属盐(例如硫酸铜)溶液能使蛋白质变性

41416a0b7f542563dc95cc42539d8fc4.png
1.下列关于蛋白质的叙述中不正确的是   (  )
A.人工合成具有生命活力的蛋白质——结晶牛胰岛素是由我国科学家在1965年首次合成的
B.在蛋白质溶液中加入饱和硫酸铵溶液,蛋白质析出,加水,不溶解
C.重金属盐能使蛋白质凝结,所以误食重金属盐能使人中毒
D.浓硝酸溅在皮肤上能使皮肤变黄,这是由于浓硝酸和蛋白质发生了显色反应
B [1965年我国科学家首次合成了结晶牛胰岛素,A项正确。在蛋白质溶液中加入饱和硫酸铵溶液,发生盐析使蛋白质析出,但是盐析是物理变化,再加水后,析出的蛋白质还会溶解,B项错误。重金属盐是有毒的,其原因是重金属的离子能引起蛋白质变性,C项正确。某些蛋白质能与浓硝酸发生显色反应,D项正确。]
2.由下列结构片段组成的蛋白质在胃液中水解,能够产生的氨基酸是(  )

3350a4083ad6f82904d224d0d2fee0c0.png

c7ef216523ec4804af3d071f8471dcc3.png

89d047dd07011921476cfd2ca19efb3d.png
D [该结构片段产生的氨基酸有CH3CH(NH2)COOH、H2NCH2COOH、HSCH2CH(NH2)COOH,故D符合。]
3.下列关于蛋白质的说法中不正确的是  (  )
A.蛋白质是由多种α­氨基酸加聚而成的天然高分子化合物
B.通常用酒精消毒,其原理是酒精使细菌中的蛋白质变性而失去生理活性
C.浓的Na2SO4溶液能使溶液中的蛋白质析出,加水后析出的蛋白质又溶解
D.蛋白质的盐析是可逆的过程,而变性是不可逆的过程   
A [氨基酸形成蛋白质的过程发生缩聚反应,不是加聚反应,A项错误;无论何种形式的消毒,其原理都是使细菌中的蛋白质变性而失去原有的生理活性,B项正确;蛋白质遇到浓Na2SO4溶液发生盐析,再加水后析出的蛋白质又能重新溶解,C项正确;蛋白质的盐析不能改变蛋白质的生理活性,是可逆过程,而变性能使其理化性质和生理功能发生改变,属于不可逆过程,D项正确。]

29b97bda81820673a45857ef67f9807d.png
1.关于生物体内氨基酸的叙述错误的是  (  )
A.构成蛋白质的氨基酸分子的结构通式可表示为
0a881517426285b8d09cd18e0478b333.png
B.人体内氨基酸的分解代谢最终产物是水、二氧化碳和尿素
C.人体内所有氨基酸均可以互相转化
D.两分子氨基酸通过脱水缩合可以形成二肽
C [部分氨基酸可以在人体内相互转化,但是有几种氨基酸在人体内不能合成,必须从食物中获得,称为必需氨基酸。]
2.甘氨酸(
c723270a59db0872c89bc083207a2c68.png )和苯丙氨酸(
3a542689e9b29275382857fb3e0d71b4.png )缩合最多可形成二肽的种类数为(  )
A.1    B.2    C.4    D.3
C [氨基酸形成二肽,就是两个氨基酸分子脱去一个水分子形成肽键的过程。两种不同的氨基酸发生脱水缩合最多可形成4种二肽(可以是相同分子之间,也可以是不同分子之间)。]
3.下列物质中可以使蛋白质变性的是(  )
①福尔马林 ②酒精 ③高锰酸钾溶液 ④硫酸铵溶液 ⑤硫酸铜溶液 ⑥双氧水 ⑦硝酸
A.除④⑦外          B.除③⑥外
C.①②⑤          D.除④外
D [①福尔马林是甲醛的水溶液,可以使蛋白质变性,正确;②酒精可以使蛋白质失去生理活性而变性,正确;③高锰酸钾溶液有强氧化性,有杀菌、消毒能力,可以使蛋白质变性,正确;④硫酸铵溶液不能使蛋白质变性,错误;⑤硫酸铜溶液是重金属盐溶液,能使蛋白质失去生理活性而变性,正确;⑥双氧水有强氧化性,有杀菌、消毒能力,可以使蛋白质变性,正确;⑦硝酸有强腐蚀性和强氧化性,可以使蛋白质变性,正确,故符合题意的是①②③⑤⑥⑦。]
4.误食重金属盐会引起中毒,下列措施一般不能用于解毒的是   (  )
A.服用大量鸡蛋清          B.服用豆浆
C.喝大量牛奶           D.喝食盐水
D [重金属盐中毒是破坏人体的蛋白质结构,鸡蛋清、豆浆和牛奶中均含有蛋白质,服用鸡蛋清、豆浆和牛奶可防止人体本身蛋白质被破坏,可用于解毒,而食盐水不能用于解毒。]
5.(1)从鸡蛋白的溶液中提取蛋白质的方法有________和________。
(2)鸡蛋腐败时,常闻到刺激性气味,该有刺激性气味的气体主要是________,说明鸡蛋中的蛋白质含有________元素。
(3)浓硝酸溅到皮肤上,使皮肤呈________色,这是由于浓硝酸和蛋白质发生了 ________反应。  
(4)现有淀粉和蛋白质胶体的混合液,要把蛋白质和淀粉分离开,可进行的操作是_________________________________________
______________________________________________________,
要检验其中蛋白质的存在,可取混合液少许,向其中加入1 mL________,加热至沸腾,溶液中生成____________,说明有蛋白质存在。
[解析](1)提取蛋白质的方法有两种:盐析和渗析。
(2)鸡蛋腐败时,鸡蛋中的蛋白质分解会放出硫化氢,H2S具有臭鸡蛋气味。
(3)某些蛋白质可以与浓硝酸发生显色反应。
(4)利用盐析法可从蛋白质和淀粉混合液中分离出蛋白质,利用显色反应可鉴别蛋白质。
[答案]  (1)盐析 渗析
(2)H2S 硫
(3)黄 显色
您需要登录后才可以回帖 登录 | 立即注册

本版积分规则

Archiver|手机版|小黑屋|5432教案网 ( 蜀ICP备2022024372号-1 |川公网安备51152402000101号 )|网站地图

GMT+8, 2026-5-26 14:04 , Processed in 2.053004 second(s), 31 queries .

Powered by Discuz! X3.5

© 2001-2026 Discuz! Team.

快速回复 返回顶部 返回列表