找回密码
 立即注册
搜索
查看: 79|回复: 0

[鲁科版] 04(必修1)第2章 第1节 第1课时(导学案2)

[复制链接]

4万

主题

224

回帖

19万

积分

管理员

积分
197640
发表于 2026-4-3 18:19:33 | 显示全部楼层 |阅读模式

ab976b320da5abc97ff4dd0e654ccb8d.png

60ea809a1726cc4b309fe357e43265c2.png 第1节 元素与物质分类
第1课时 元素与物质的关系 物质分类与物质性质
核心素养发展重点
学业要求
关注物质的元素组成基于核心元素认识物质的性质分析物质的类别
1.能根据物质的组成和性质对物质进行分类了解各类物质的一般性质
2知道同一种元素可以组成不同类别的物质
自主学习

57df17e28449d85a1a3b7182a659296d.png 元素与物质的关系
1.元素在物质中的存在形态
2.元素在物质中的化合价(以碳元素为例)

d5a94ca4b3110632ddfc13a2609e9564.png

27c55f1703983fe3070ca462697e0969.png 物质分类与物质性质
2.物质分类的依据
(1)按物质的组成分

16f3f20ea69cef1ae5da0e57ddda2a53.png
(2)按物质的性质分


70e021ab4151b8195e7ced8b1e26529a.png
课堂探究
一、元素与物质的关系
                    

f9a19d2626fe46472155defe8c4fabeb.png
你已经接触过许多物质如钠氧化镁氯化钠氢氧化钠一氧化碳二氧化碳氯气氢气氧气氯化亚铁三氧化二铁碳酸钠碳单质硫酸碳酸氯化铁等
1.组成这些物质的元素有哪些?
提示:组成这些物质的元素有Na、Mg、Fe、O、Cl、H、C、S。
2.你能从元素组成的角度将这些物质分类吗?
提示:可根据是否为由同一种元素组成的纯净物,将其分为单质和化合物。
3.在中学化学中我们学习了大量含碳元素的物质如碳单质一氧化碳二氧化碳碳酸钙碳酸(H2CO3)碳酸钠(Na2CO3)等
(1)你知道碳元素还能参与组成哪些物质吗?
(2)在这些物质中碳元素的化合价是怎样的?
(3)碳元素参与组成的这些物质之间具有怎样的关系呢?
提示:(1)所有的有机物、BaCO3……
(2)碳元素的化合价有0、+2、+4价。
(3)这些物质都含有碳元素,碳元素是组成这些物质的核心元素。

bc261b13e9b1fe70f5cdb77af903fa9a.png
1.由同种元素组成的物质不一定是纯净物如:由氧元素组成的物质可以是O2O3的混合物
2.核心元素相同的物质在一定条件下可以相互转化

f48275eba41f24f4e3dc0e24b1c55904.png
1.下列说法中正确的是(  )
A.每种元素在自然界都能以游离态和化合态两种形式存在
B.所有的物质都是由分子构成的
C.在化合物中金属元素只能显正价非金属元素只能显负价
D.所有的物质都是由元素组成的
答案 D
解析 有些元素在自然界中以游离态化合态两种形式存在,但有些元素只以化合态存在;有些物质是由分子构成的,有些物质是由原子或离子构成的;在化合物中金属元素只能显正价,非金属元素既能显正价也能显负价,如NH4NO3中,N元素既显正价又显负价。
2.由两种元素组成的物质(  )
A.一定是氧化物  B.一定是化合物
C.可能是混合物  D.可能是纯净物且为单质
答案 C
解析 
二、物质分类与物质性质
                    

f9a19d2626fe46472155defe8c4fabeb.png
1.按照物质类别将下列物质分类
碳单质二氧化碳碳酸钙碳酸钠氧气氧化钙氢氧化钙盐酸氯化钠氯化钡硫酸硫酸钠硫酸铜氢氧化铜氢氧化钠硝酸银
提示:

1bf614415b57efdccf4689ef6992e597.png
2.金属单质非金属单质氧化物碱和盐分别可能与哪些类别的物质发生反应?
提示:金属单质(以Fe为例)

9ea2a765fe760faa5b408b785cac53bf.png
非金属单质(以Cl2为例)

a94c4657c8a326135efb0de124e53557.png
氧化物(以CO2、CaO为例)

7539d6eb7afdbcb3442722d816ac3c19.png
碱[以Ca(OH)2为例]

61e285e8376a044004b50108bbc21f64.png
盐(以Na2CO3为例)

fe9138bf77401ecb5967621f28f81989.png
酸(以H2SO4为例)

23d4a3c4e6a58bbe875330dfe7ddeb60.png
3.你能基于物质类别探究一种陌生物质的性质吗?说说你的思路
提示:先通过分析其组成(或用符号表示的物质组成)判断其所属类型,然后根据其所属类型的通性,预测其性质,并设计实验验证。

bc261b13e9b1fe70f5cdb77af903fa9a.png
1.分类的依据和标准不同同一物质的分类结果不同如:CaO按组成分是金属氧化物;按性质分是碱性氧化物;按用途分是干燥剂……
2.酸性氧化物和碱性氧化物的几点说明
(1)碱性氧化物一定是金属氧化物但金属氧化物不一定是碱性氧化物例如:Na2O2是过氧化物Al2O3是两性氧化物Mn2O7是酸性氧化物
(2)酸性氧化物不一定是非金属氧化物非金属氧化物也不一定是酸性氧化物例如:CONONO2等不是酸性氧化物
(3)碱不一定都有对应的碱性氧化物例如:NH3·H2O无对应碱性氧化物
(4)酸性氧化物碱性氧化物不一定都能与水反应生成相应的酸和碱(如SiO2Fe2O3)

f48275eba41f24f4e3dc0e24b1c55904.png
3.下列各组物质按单质化合物和混合物顺序排列正确的是(  )
A.冰生石灰空气  B.碘酒纯碱烧碱
C.液氧盐酸沼气  D.金刚石苛性钠食盐水
答案 D
解析 单质是指由同种元素组成的纯净物,因此,液氧、金刚石为单质。化合物是指由不同种元素组成的纯净物,所以冰、生石灰、纯碱、烧碱、苛性钠为化合物。混合物是指由不同种物质组成的物质,因此,空气、碘酒、盐酸、沼气(主要成分是甲烷)、食盐水为混合物。
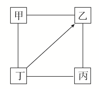
4. 图中——表示相连的物质间在一定条件下可以反应→”表示丁在一定条件下可以转化为乙下面四组选项中符合图示要求的是(  )

f1b4a289b2d0ff7e4631e44efaff4532.png




A
H2SO4
Na2SO4
NaOH
NaCl
B
KCl
K2CO3
KOH
HCl
C
O2
CO2
CuO
C
D
Fe
CuCl2
Zn
HCl
答案 D
解析 A项,甲(H2SO4)与乙(Na2SO4)、乙与丙、丙与丁之间不反应;B项,丁(HCl)不能转化为乙,且甲与乙、乙与丙、甲与丁之间不反应;C项,甲与乙、乙与丙之间不反应;D项,Fe与CuCl2、Zn与CuCl2、Zn与HCl、Fe与HCl之间能反应,且HCl与CuO或Cu(OH)2等反应可转化为CuCl2,符合题意。
方法技巧
  解不同类别物质之间转化类题的通用模板
答题步骤
答题注意事项
第一步
明确各物质的类别按酸氧化物单质分类
第二步
根据同类物质性质相似分析物质间的化学反应
第三步
依据题意结合各类物质间的反应得到答案
本课小结
1.物质的分类

4aca2091f3f0d8b21d338a68dc41e0bd.png
2.单质、氧化物、酸、碱、盐的转化关系

90977286f7bf2e16687f69bda23a4600.png
您需要登录后才可以回帖 登录 | 立即注册

本版积分规则

Archiver|手机版|小黑屋|5432教案网 ( 蜀ICP备2022024372号-1 |川公网安备51152402000101号 )|网站地图

GMT+8, 2026-5-26 15:09 , Processed in 2.307319 second(s), 32 queries .

Powered by Discuz! X3.5

© 2001-2026 Discuz! Team.

快速回复 返回顶部 返回列表