找回密码
 立即注册
搜索
查看: 68|回复: 0

[鲁科版] 09(必修1)第2章 第3节 第1课时(导学案2)

[复制链接]

4万

主题

224

回帖

19万

积分

管理员

积分
198045
发表于 2026-4-3 18:20:40 | 显示全部楼层 |阅读模式

60ea809a1726cc4b309fe357e43265c2.png 第3节 氧化还原反应
第1课时 认识氧化还原反应
核心素养发展重点
学业要求
1.认识到可以从不同角度对化学反应进行分类
2.发展对化学反应实质的认识知道氧化还原反应的实质是电子转移
1.能识别氧化还原反应并判断氧化剂还原剂
2.能利用氧化还原反应等概念对常见的反应进行分类和分析说明
自主学习
1.氧化还原反应的特征和实质
(1)概念
(2)特征
(3)实质
(4)氧化还原反应与化合价升降及电子转移的关系
2氧化还原反应中电子转移的表示方法
(1)双线桥法

c62c5386e259a8558a012d9d017d3491.png
(2)单线桥法

fdc7051aec5de219c4a2131d7a11bd84.png
课堂探究
氧化还原反应

f9a19d2626fe46472155defe8c4fabeb.png
提示:该反应过程中COCO2是得氧过程该反应为氧化反应;而CuOCu是失氧过程该反应为还原反应因此整个反应既包含氧化反应又包含还原反应化学上称之为氧化还原反应
2从元素化合价变化的角度分析下列反应有何不同:
Fe+CuSO4===FeSO4+Cu;
BaCl2+Na2CO3===BaCO3+2NaCl

bc261b13e9b1fe70f5cdb77af903fa9a.png
 氧化还原反应与四种基本反应类型的关系
(1)关系图示

5a8d7c792cf32dc9ef5e351242bac764.png
(2)所有的置换反应都是氧化还原反应
所有的复分解反应都不是氧化还原反应
有单质参加的化合反应都是氧化还原反应有单质生成的分解反应都是氧化还原反应
无单质参加的化合反应无单质生成的分解反应不一定不是氧化还原反应
知识拓展
1判断一个反应是否为氧化还原反应的关键是分析反应前后有无元素化合价变化
2在同一个化学反应中化合价升高与降低的元素可以是不同物质间的不同元素或不同物质间的相同元素也可以是同一种物质中的不同元素或同一种物质中的同种元素
3含不同价态同种元素的物质之间发生氧化还原反应时元素的化合价只靠拢不交叉

f48275eba41f24f4e3dc0e24b1c55904.png
1.氧化还原反应的实质是(  )
A氧元素的得失          B.化合价的升降
C电子转移                          D.分子中原子的重新组合
答案 C
解析 化合价的升降是氧化还原反应的特征电子的转移是氧化还原反应的实质
2.氧化还原反应与四种基本反应类型的关系如图所示则下列化学反应属于阴影3区域的是(  )

8de07c24724e5119d33ac85107e9332a.png
C4Fe(OH)2+O2+2H2O===4Fe(OH)3
答案 D
解析 阴影区域的反应必须属于氧化还原反应且不属于化合分解置换反应A项该反应属于分解反应又属于氧化还原反应属于2区域;B项该反应属于分解反应不属于氧化还原反应;C项该反应属于化合反应又属于氧化还原反应属于1区域;D项属于氧化还原反应不属于化合分解置换反应中的任意一种故属于阴影3区域
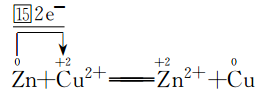
氧化还原反应中电子转移的表示方式

f9a19d2626fe46472155defe8c4fabeb.png
提示:该反应过程中铁元素由0价变为+3价即一个铁原子在反应过程中失去3个e故0.2 mol Fe在反应过程中共失去0.2 mol×3=0.6 mol e而0.2 mol Fe恰好与0.3 mol Cl2反应且反应过程中氯元素的化合价由0价变为-1价1个Cl2反应过程中得2个e0.3 mol Cl2反应过程中得0.6 mol e所以氧化还原反应过程中氧化反应过程失去的电子数等于还原反应过程得到的电子数

bc261b13e9b1fe70f5cdb77af903fa9a.png
双线桥法
1标注过程

9c8997685f993a1ac81bec92cd08077e.png
2双线桥法表示氧化还原反应电子转移时注意的问题
(1)线桥必须跨过方程式的“===”
(2)箭头和箭尾必须连接同一元素并且箭头指向生成物箭尾连接反应物
(3)线桥上必须标明得到失去并且得到失去电子的总数目必须相等
(4)书写电子转移的数目时要写为得到a×be失去a×be的形式其中a为发生化合价变化的元素对应的原子个数b为发生化合价变化的元素的一个原子得到(失去)电子的数目
单线桥法
1标注过程

e5b87c9a9c8fb492d99ba1e9734caf25.png
2单线桥法表示氧化还原反应电子转移时注意的问题
(1)箭头和箭尾所连接的都是反应物
(2)箭头必须指向化合价降低的元素箭尾连接化合价升高的元素
(3)线桥上只写ne(即只能写电子转移的总数)不能写成a×be的形式也不能写得到失去
知识拓展
双线桥法配平氧化还原反应
(1)配平原理
在氧化还原反应中从表面看是化合价升降数相等从本质看是得失电子守恒对离子方程式进行配平时除满足上述要求外还应注意电荷守恒
(2)配平步骤
以Cu+HNO3(稀)——Cu(NO3)2+NO+H2O为例:
标出反应前后化合价发生变化的元素的化合价
标出反应前后元素化合价的改变数

3de072cadb704e04128afefc61c31eef.png
通过求最小公倍数使化合价升降总数相等

efd55b926b7f6c3896c7fa06d1e852df.png
确定发生氧化反应和还原反应的各物质的系数
3Cu+2HNO3()——3Cu(NO3)2+2NO+H2O
观察法配平其他物质的系数
3Cu+8HNO3()——3Cu(NO3)2+2NO+4H2O
检查质量是否守恒配平后将短线改为等号
3Cu+8HNO3()===3Cu(NO3)2+2NO+4H2O
由配平过程可知:当有8 mol HNO3与Cu充分反应时仅有2 mol HNO3发生还原反应(做氧化剂)还有6 mol HNO3未参加氧化还原反应

f48275eba41f24f4e3dc0e24b1c55904.png
3.下列各氧化还原反应方程式表示的变化过程正确的是(  )

35a083aa843c6ccab581ad25669b77a7.png
答案 D
解析 A中得失电子不守恒每生成3 mol O2应失去6×2e生成2 mol KCl应得到2×6eA错误;B中生成1 mol Cl2应转移2 mol e有2 mol HCl未失去电子B错误;C中一部分Cl2得到电子一部分Cl2失去电子失电子数目为1×eC错误
4(1)写出Fe2O3与CO在高温下反应的化学方程式并用双线桥标出电子转移的方向和数目
(2)写出Cu和AgNO3溶液反应的离子方程式并用单线桥标出电子转移的方向和数目
答案 
(1)
924b17e1dfb5e047510a8638289e8820.png
(2)
c6d2e4fc468b7fec4d57b1df8695ca26.png
本课小结
您需要登录后才可以回帖 登录 | 立即注册

本版积分规则

Archiver|手机版|小黑屋|5432教案网 ( 蜀ICP备2022024372号-1 |川公网安备51152402000101号 )|网站地图

GMT+8, 2026-5-26 18:08 , Processed in 2.250872 second(s), 33 queries .

Powered by Discuz! X3.5

© 2001-2026 Discuz! Team.

快速回复 返回顶部 返回列表