找回密码
 立即注册
搜索
查看: 9|回复: 0

[人教版] (必修3)11.3-2实验:金属丝电阻率的测量(导学案2)

[复制链接]

4万

主题

224

回帖

19万

积分

管理员

积分
190320
发表于 2026-4-8 07:09:42 | 显示全部楼层 |阅读模式
第十一章3节 导体电阻率的测量
第2课时 金属丝电阻率的测量
【学习目标】
1掌握电流表、电压表和滑动变阻器的使用方法。
2学会利用伏安法测电阻,进一步测出金属丝的电阻率。
【课前预习】
一、实验原理和方法

5d29ad760185fad1704b1232ace20e2d.png
2.用毫米刻度尺测量金属丝的长度l,用螺旋测微器量得金属丝的直径,算出横截面积S
二、实验器材
被测金属丝、螺旋测微器、毫米刻度尺、电池组、电流表、电压表、滑动变阻器、开关、导线若干。
三、实验步骤
1.直径测定
2.电路连接
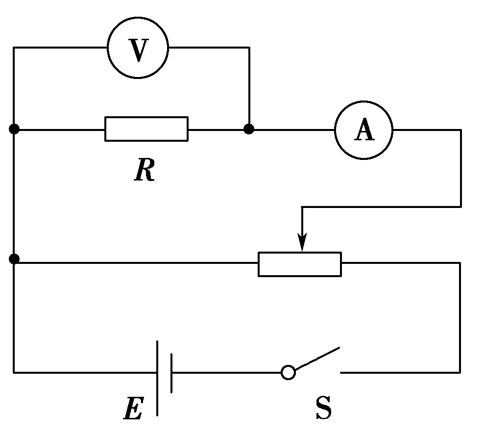
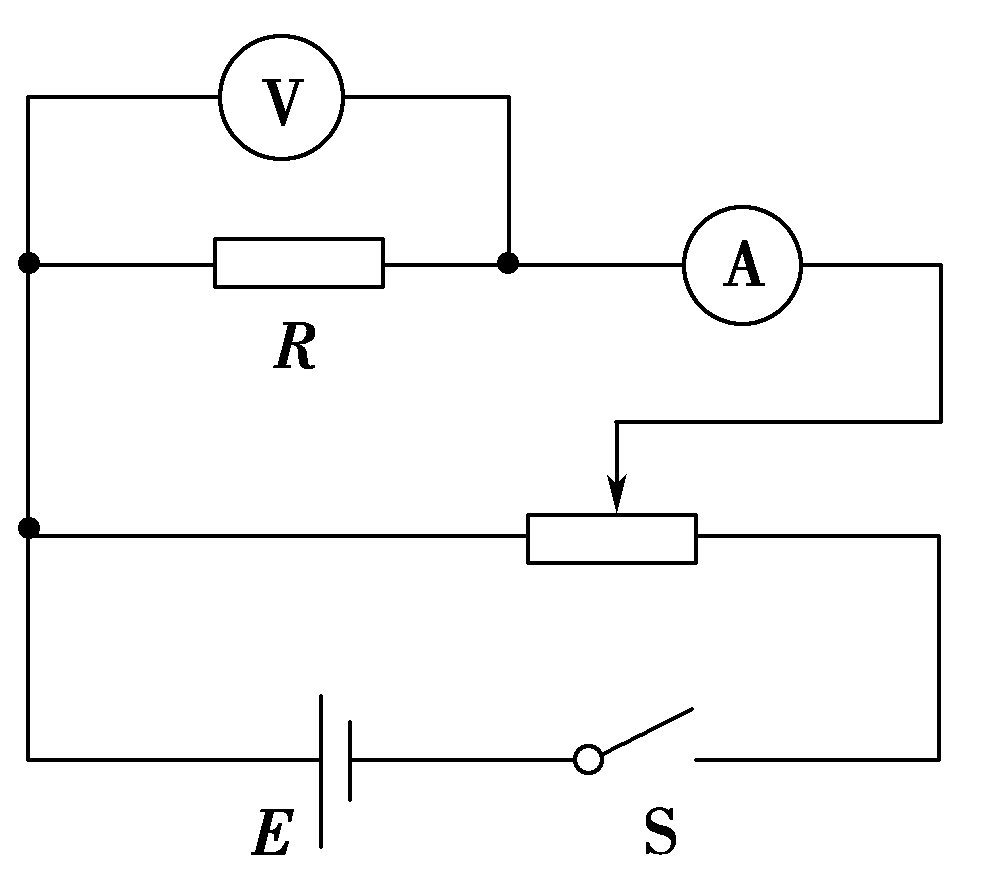
按如图所示的原理电路图连接好,用伏安法测电阻的实验电路。

5d29ad760185fad1704b1232ace20e2d.png
3.长度测量
用毫米刻度尺测量接入电路中的被测金属导线的有效长度,反复测量3次,求出其平均值l
4UI测量
把上图中滑动变阻器的滑动片调节到最左端,电路经检查确认无误后,闭合开关S,改变滑动变阻器滑动片的位置,读出几组相应的电流表、电压表的示数IU的值,记入表格内,断开开关S
5.拆去实验线路,整理好实验器材。
四、数据处理
1.在求Rx的平均值时可用两种方法
(2)U­I图线的斜率求出。
2.计算电阻率
五、误差分析
1.金属丝的横截面积是利用直径计算而得,直径的测量是产生误差的主要来源之一。
2.采用伏安法测量金属丝的电阻时,由于采用的是电流表外接法,测量值小于真实值,使电阻率的测量值偏小
3.金属丝的长度测量、电流表和电压表的读数等会带来偶然误差。
4.由于金属丝通电后发热升温,会使金属丝的电阻率变大,造成测量误差。
六、注意事项
1.本实验中被测金属导线的电阻值较小,因此实验电路一般采用电流表外接法。
2.实验连线时,应先从电源的正极出发,依次将电源、开关、电流表、待测金属导线、滑动变阻器连成主干线路,然后再把电压表并联在待测金属导线的两端。
3.测量被测金属导线的有效长度,是指测量待测导线接入电路的两个端点之间的长度,亦即电压表两端点间的待测导线长度,测量时应将导线拉直,反复测量三次,求其平均值。
4.测金属导线直径一定要选三个不同部位进行测量,求其平均值。
5.闭合开关S之前,一定要将原理图中滑动变阻器的滑片移到最左端。
6.在用伏安法测电阻时,通过待测导线的电流强度I不宜过大(电流表用00.6 A量程),通电时间不宜过长,以免金属导线的温度明显升高,造成其电阻率在实验过程中逐渐增大。
【学习过程】
[1]某同学用伏安法测量导体的电阻,现有量程为3 V、内阻约为3 kΩ的电压表和量程为0.6 A、内阻约为0.1 Ω的电流表。采用分压电路接线,图甲是实物的部分连线图,待测电阻为图乙中的R1,其阻值约为5 Ω

d02ba9dc93c39e59aab424db3cb82c2b.png
甲         乙
(1)R1阻值的最优连接方式为导线连接________(选填ab”)、导线连接________(选填cd”)
(2)正确接线测得实验数据如表,用作图法求得R1的阻值为________Ω
U/V
0.40
0.80
1.20
1.60
2.00
2.40
I/A
0.09
0.19
0.27
0.35
0.44
0.53
A连接a连接c   B连接a连接d
C连接b连接c        D连接b连接d
[解析] (1)由于实验测量的是一个小电阻,故电流表应外接,因此导线a,由于采用分压电路,故导线应接d
(2)根据实验数据作出R1U­I图线如图所示,图线的斜率即为电阻R1的大小,由图像可知,R14.6 Ω

ea2c9335659e35e9f0d091be84b359d9.png
[答案] (1)a d (2)作图见解析,4.6(4.44.7均可) (3)B
[变式训练1-1] (多选)测定金属的电阻率的实验中,以下操作中错误的是(  )
A.用米尺测量金属丝的全长,且测量三次,算出其平均值,然后再将金属丝接入电路中
B.用螺旋测微器在金属丝三个不同部位各测量一次直径,算出其平均值
C.用伏安法测电阻时,采用电流表内接法,多次测量后算出平均值
D.实验中应保持金属丝的温度不变
AC [实验中应测量出金属丝接入电路中的有效长度,而不是全长;金属丝的电阻很小,与电压表内阻相差很大,使金属丝与电压表并联,电压表对它分流作用很小,应采用电流表外接法。故AC操作错误。]
[变式训练1-2]测定金属的电阻率的实验中,

df18c63ce5c219b76f05764f1dd91c91.png
甲         乙
(1)某同学用螺旋测微器测金属丝直径时,测得结果如图甲所示,则该金属丝的直径为________mm
(2)用量程为3 V的电压表和量程为0.6 A的电流表测金属丝的电压和电流时的读数如图乙所示,则电压表的读数为________V,电流表的读数为________A
(3)用米尺测量金属丝的长度L0.810 m。利用以上测量数据,可得这种材料的电阻率为________Ω·m(保留两位有效数字)
[解析] (1)螺旋测微器的读数为d2.5 mm43.5×0.01 mm2.935 mm
(2)因电压表的每小格读数为0.1 V,所以应估读到0.01 V,所以电压表的读数为U2.60 V;同理,电流表的每小格读数为0.02 A,应估读到0.01 A,所以电流表的读数为I0.52 A
联立以上两式,代入数据得:ρ4.2×105 Ω·m
[答案] (1)2.935 (2)2.60 0.52 (3)4.2×105
您需要登录后才可以回帖 登录 | 立即注册

本版积分规则

Archiver|手机版|小黑屋|5432教案网 ( 蜀ICP备2022024372号-1 |川公网安备51152402000101号 )|网站地图

GMT+8, 2026-4-17 10:51 , Processed in 1.040925 second(s), 32 queries .

Powered by Discuz! X3.5

© 2001-2026 Discuz! Team.

快速回复 返回顶部 返回列表